2.4.4.2. Wärmebedarfsberechnung
Obwohl durch die Ortsveränderlichkeit der Campinganhänger bei der Berechnung des Wärmebedarfs nicht alle klimatischen Einflüsse erfasst werden können, sollte die Wärmebedarfsberechnung auf der Grundlage von TGL 112-0319 erfolgen. Das Ergebnis dieser Berechnung ist nicht identisch mit dem momentanen Wärmebedarf. Dieser ist von den vorhandenen Temperaturdifferenzen sowie von der Windstärke, Windrichtung und dem Tagesgang der Sonnenstrahlung abhängig.
Der berechnete Wärmebedarf bildet die Grundlage für die Auswahl der erforderlichen Nennleistung der Heizungsanlage.
Stündlicher Gesamtwärmebedarf ( Qh), er setzt sich aus dem Transmissions-Wärmebedarf QT und dem Lüftungswärmebedarf QL zusammen:
Qh = QT + QL.
Transmissions-Wärmebedarf (QT), er wird aus dem Transmissions-Wärmeverlust Qo durch Multiplikation mit einem Zuschlagfaktor Z ermittelt:
QT = Qo • Z, wobei Z = 1 + ZU + ZA + ZH.
Dabei werden für den Zuschlagfaktor Z folgende im ungünstigen Fall auftretende Einzelzuschläge empfohlen:
ZU = 20 % für Betriebsunterbrechung der Heizung
ZA = 10 % für Ausgleich der kalten Außenflächen
ZH = 5 % Zuschlag für die Himmelsrichtung.
Sind Einsatzzweck und Einsatzbedingungen bekannt können die Einzelzuschläge Zu und ZA mit Hilfe des D -Wertes (mittlerer Wärmedurchgangswert) ermittelt werden.
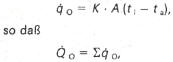
Der Transmissions-Wärmeverlust setzt sich aus den Wärmeverlusten von Fußboden, Seitenwänden, Vorder- und Rückwand, Dach, Fenstern, Dachluken und Tür zusammen. Für jedes Bauelement gilt:

K Wärmedurchgangswert; A Fläche des Bauteiles; ti geforderte Lufttemperatur im Campinganhänger; ta Lufttemperatur im Freien.
Bei allen Bauelementen sind für die Fläche die lichten Baumaße einzusetzen.
Folgende Werte werden für die Berechnung der Wärmeverluste im Campinganhänger empfohlen:
tamin = -20 °C für Wintercamping im Gebirge
tamin = -15 °C für Wintercamping in der milden Klimazone
tamin = 0 °C für Frühjahr bis Herbst
ti = +22 °C.
Für die Berechnung des Wärmedurchgangswertes K gilt:

αi Wärmeübergangszahl Raum - Innenwand; αa Wärmeübergangszahl Außenwand - Luft; δn Stärke der Wand bzw. Isolierschicht; λn Wärmeleitzahl des Materials.
Zur Berechnung des Wärmedurchgangswertes K werden folgende Werte empfohlen: Wandinnentemperatur tWI = 18 °C; Wärmeübergangszahlen αi und αa nach Bild 2.84
Wärmeleitzahlen λ der gebräuchlichsten Isolier- und Verkleidungsstoffe:
| Schaumpolystyrol | λ = 0,043 W/m • K |
| Polyurethanschaum | λ = 0,021 W/m • K |
| Korkplatten | λ = 0,040 W/m • K« |
| Schlackenwolle | λ = 0,048 W/m • K |
| unbewegte Luft | λ = 0,26 W/m • K |
| Kiefer, Fichte, Tanne (quer zur Faser) | λ = 0,140 W/m • K |
| Piacryl | λ = 0,174 W/m • K |
| Fensterglas | λ = 1,163 W/m • K |
| Aluminium (99 % Al) | λ = 209 W/m • K |
| glasfaserverstärktes Polyester | λ = 0,233 W/m • K |
Bei Luftisolierung müssen die Luftkammern so klein gewählt werden, dass durch thermische Einflüsse keine Luftzirkulation entsteht. Nur dann darf die Wärmeleitzahl λ = 0,26 W/m • K für die Berechnung des Wärmedurchgangswertes K verwendet werden. (Die durch Anwendung von Papierwaben entstehenden Luftkammern sind bereits zu groß.)

Bild 2.84. Wärmeübergangszahl α von Luft bei turbulenter Strömung
Ob die empfohlene Wandinnentemperatur twi = 18 °C erreicht wird, lässt sich mit
![]()
ermitteln.
Lüftungswärmebedarf. Bedingt durch die festgelegte Zwangsbelüftung eines Campinganhängers sowie die nicht vermeidbaren Undichtheiten der Fenster, Türen und Luken, wird zum Aufheizen der einströmenden Frischluft eine bestimmte Wärmemenge benötigt. Dieser Lüftungswärmebedarf berechnet sich aus
QL = VL • Cp(ti • t a min);
VL stündliche Luftmenge in m3/h; Cp spezifische Wärme der Luft in kj/m3 • K; ti Innentemperatur in K; t a min tiefste Außentemperatur in K.
Mit Cp = 1,298 kJ/m3 • K ergibt sich
QL = VL • 1,298 (ti - t a min).
VL ist vor allem abhängig von der Durchlässigkeit der angeblasenen Fenster und Türen sowie den nicht verschließbaren Zwangsbelüftungsöffnungen.
Zur Ermittlung eines Richtwertes hat sich die Einführung des Faktors a bewährt, durch den die Luftdurchlässigkeit je Meter Fugenlänge in m3/h bei einem Druckunterschied von 9,81 Pa (1 kp/m2) in Abhängigkeit von der Fensterbauart erfasst wird. Der Lüftungswärmebedarf für die natürliche Belüftung kann mit Hilfe dieses Faktors aus
QL = Σ(a • l) • ZW • ZL • ZE
berechnet werden.
Σ(a • l) Summe der Produkte aus Fugendurchlässigkeit in m3/h und Fugenlänge in m bei ungünstigstem Windanfall angeblasener Fenster, Türen und Dachluken.
Da die Aufstellung eines Campinganhängers und die Windrichtung nicht bekannt sind, sollten für die Berechnung immer die Seiten- und Vorder- bzw. Rückwand eingesetzt werden, die die größten Undichtheiten erwarten lassen. Es darf nicht die Σ(a • l) aller Wandelemente eingesetzt werden, da auf der gegenüberliegenden Windseite an der Wand Unterdruck entsteht und somit die Außenluft nicht in den Campinganhänger eindringt, sondern die Innenluft hinaus gesogen wird. Richtwerte für die Fugendurchlässigkeit a je Meter Fugenlänge in m3/h:
| rahmenlose ausstellbare Einfachfenster | 4,0 |
| rahmenlose ausstellbare Doppelfenster | 3,0 |
| rahmenlose nicht ausstellbare Einfachfenster | 2,0 |
| rahmenlose nicht ausstellbare Doppelfenster | 1,5 |
| ausstellbare Einfachfenster mit Metallrahmen | 2,0 |
| ausstellbare Doppelfenster mit Metallrahmen | 1,5 |
| nicht ausstellbare Fenster mit Metallrahmen | 1,2 |
| Außentür, Dachluken | 4,0 |
Richtwerte für die Zwangsbelüftung in m3/h unter Berücksichtigung der Fugendurchlässigkeit:
| für zwei Personen | 20,0 |
| für drei Personen | 30,0 |
| für vier Personen | 40,0 |
| für jede weitere Person | 10,0 |
Faktor Zw, der den Einfluss der Widerstände beim Abströmen der Luft aus dem Campinganhänger berücksichtigt.
Richtwert: Zw = 1,0 bis 0,9.
Faktor ZL, der den Einfluss der Windgeschwindigkeit berücksichtigt. In der Tabelle 2.11 sind entsprechende Richtwerte enthalten. Der Faktor ZL beinhaltet gleichzeitig die spezifische Wärme Cp. Bei der Berechnung sollte als Durchschnittswert der milden Klimazone ZL = 0,58 verwendet werden. Soll sich der Campinganhänger hundertprozentig für Wintercamping in den Bergen und an der See eignen, so reicht der Faktor ZL = 0,58 nicht mehr aus. Da der Standort des Campinganhängers den berechneten Lüftungswärmebedarf ganz erheblich beeinflusst, sollte der vorgesehene Einsatzzweck rechtzeitig bestimmt werden.
Tabelle 2.11. Richtwerte, die den Einfluss der Windgeschwindigkeit in m/s berücksichtigen
| Faktor ZL | vw in m/s | |
| Wandseiten, geschützte | 0,58 | 6 |
| Wandseiten, frei | 0,84 | 8 |
| Wandseiten, außergewöhnlich frei | 1,14 bis 500 m Höhenlage | 10 |
| 1,45 über 500 m Höhenlage | 12 |
ZE Faktor, der den Einfluss der Fenster bei unmittelbar aufeinander stoßenden Außenwänden berücksichtigt. Richtwert: ZE = 1,2.
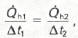
Wärmebedarf als Funktion der Außentemperatur
Um Richtwerte für den Wärmebedarf bei unterschiedlichen Außentemperaturen zu erhalten kann man den Wärmebedarf den Temperaturunterschieden zwischen Innen- und Außentemperaturen verhältnisgleich setzen:
![]()
Qh1 berechneter Wärmebedarf; Δt1 Temperaturdifferenz ti - tamin; Qh2 momentaner Wärmebedarf; Δt2 Temperaturdifferenz ti - tax.
Zur Berechnung des Wärmebedarfes eines Campinganhängers werden folgende Unterlagen und Angaben benötigt:
- Konstruktions- oder Entwurfszeichnungen, aus denen die mittlere Wand- bzw. Isolationsstärke hervorgeht
- Angaben über Fenster, Türen und Dachluken (lichte Weite, lichte Höhe, Isolationsstärke, Fugenlänge)
- Raummaße
- Materialangaben über Außenverkleidung, Isolation, Innenverkleidung, Fenster und Dachluken
- Lufttemperatur außer- und innerhalb eines Campinganhängers, festgelegter Luftwechsel durch Zwangsbelüftung
- Klimazone, in der der Campinganhänger eingesetzt werden soll.
Aus den Punkten ergeben sich die für den Campinganhänger in Tabelle 2.12 zusammengestellten Angaben. Als einzige unbekannte Größe muss die Wärmedurchgangszahl K berechnet werden. Für den Wandaufbau GFP - PUR-Schaum - GFP erhält man

αi = 8,141; αa = 29,025 (W/m2 • K); λGFP = 0,233; λS = 0,021 (W/m2 • K); λA = 3 mm; λS = 25 bzw. 20 mm; λi = 1 mm.
Bei δS = 25 mm, K = 0,732 W/m2 • K; bei δS = 20 mm K = 0,887 W/m2 • K.
Für die Piacryl-Fenster ergibt sich
mit δF = 4 mm und δP = 0,174 W/m2 • K eine Wärmedurchgangszahl K = 5,618 W/m2 • K.
Tabelle 2.12. Berechnung des Wärmebedarfes für einen Campinganhänger von 3,50 m Aufbaulänge
Mit den errechneten Wärmedurchgangszahlen kann der vorhandene Transmissionswärmeverlust sowie - unter Beachtung der erforderlichen Richtwerte für die Fugendurchlässigkeit der Zwangsbelüftung und der erforderlichen Faktoren - der Lüftungswärmeverlust berechnet werden. Es ergibt sich ein Gesamtwärmebedarf für 4min = -15 °C von Qges = 3801 W (vgl. Tabelle 2.12). Dieser Wärmebedarf muss von der ausgewählten Heizung bei einer Außentemperatur von -15 °C und einer Windstärke von 6 m/s aufgebracht werden. Aus Bild 2.85 kann der momentane Wärmebedarf bei der jeweilig vorhandenen Außentemperatur ermittelt werden.
Der berechnete Gesamtwärmebedarf vermindert sich mit konstruktiven Verbesserungen an den Abdichtungen der Tür und der Ausstellfenster und mit dem Einsatz von Doppelfenstern für das Wintercamping.

Bild 2.85. Gesamtwärmebedarf als Funktion der Außentemperatur für einen Campinganhänger von 3,50 m Aufbaulänge
Meinungen zum Thema
Was ist Ihre Meinung zu diesem Artikel? Bisher wurde hierzu noch keine Meinung abgegeben - aber Sie haben doch bestimmt eine!
2.4.5. Elektroinstallation
PKW-Anhänger werden mit einer 6-/12-V-Schwachstromanlage ausgerüstet die insbesondere die Forderungen der StVZO erfüllen muss. Campinganhänger erhalten zur Erhöhung des Wohnkomforts zusätzlich eine 220-V-Anlage. Beide Anlagen müssen getrennt voneinander verlegt werden, so dass Verwechselungen ausgeschlossen sind. Als Besonderheit gegenüber stationären Schwach- und Starkstromanlagen müssen bei der elektrischen Anlage des Anhängers die Konstruktionsweise und die zusätzlich auftretenden fahrdynamischen Belastungen beachtet werden. Aus diesem Grund lassen sich Standards nur bedingt auf die Elektroinstallation des Anhängers anwenden. Dies trifft auch zu für das zur Verfügung stehende Installationsmaterial für stationäre Anlagen.
Meinungen zum Thema
Was ist Ihre Meinung zu diesem Artikel? Bisher wurde hierzu noch keine Meinung abgegeben - aber Sie haben doch bestimmt eine!
2.4.5.1. Schwachstromanlage 6/12 V
Die Schwachstromanlage 6/12 V muss die Forderungen der 3. DB zur StVZO erfüllen und gleichzeitig die Innenbeleuchtung der Campinganhänger während der Fahrpausen sichern. Der prinzipielle Aufbau ist Bild 2.86 zu entnehmen. Die Forderungen von TGL 5003 sind einzuhalten.

Bild 2.86. Schaltplan der 6-/12-V-Anlage für Campinganhänger
Technische Regeln
Die nachfolgend aufgeführten technischen Regeln gelten für die Projektierung, konstruktive Ausführung und Installation von Schwachstromanlagen für PKW-Anhänger.
Elektrische Einrichtungen
Elektrische Einrichtungen sind so zu installieren, dass auftretende Erwärmung und Kontaktfeuer brennbare Stoffe nicht entzünden.
Verbrauchs- und Schaltgeräte für Elektroenergie dürfen nicht in unmittelbarer Nähe von Behältern und Rohrleitungen für flüssige und gasförmige Brennstoffe angeordnet werden.
Alle von der Energiequelle ausgehenden Stromkreise, die im Dauerbetrieb genutzt werden können, sind einpolig abzusichern.
Elektrische Leitungen für Kleinspannung 6/12 V sind gegenüber den Leitungen mit 220 V Spannung getrennt zu verlegen und dürfen miteinander auch bei Erschütterungen während des Fahrbetriebes keine Berührung bekommen.
Außenbeleuchtung
PKW-Anhänger müssen mit Schlussleuchten, Bremsleuchten, Rückstrahlern, Fahrtrichtungsanzeigern und einer Beleuchtung für das hintere polizeiliche Kennzeichen ausgerüstet sein. Unter bestimmten Bedingungen sind Begrenzungsleuchten gesetzlich vorgeschrieben. Zusätzlich können Parkleuchten, Nebelschlussleuchten, Rückfahrscheinwerfer und Warnblinklicht angeschlossen werden. Ist die paarweise Anbringung von Leuchten vorgeschrieben, müssen solche gleicher Bauart verwendet werden.
Fahrtrichtungsanzeiger und Warnblinkeinrichtungen
Anhänger müssen an der Rückseite mit Fahrtrichtungsanzeigern ausgerüstet sein, die mit einer Blinkfrequenz von 90 ± 30 je Minute ein gelbes Blinklicht ausstrahlen. Fahrtrichtungsanzeiger an derselben Seite des Zugfahrzeuges und Anhängers müssen gleichzeitig und phasengleich blinken (s. Abschn. 4.5.).
Die Blinkleuchten sind jeweils in gleicher Höhe und in gleichem Abstand von der Fahrzeuglängsmittelebene anzuordnen.
Die Wirksamkeit der Fahrtrichtungsanzeiger des Anhängers muss durch eine Kontrollleuchte im Zugfahrzeug angezeigt werden.
Das Warnblinklicht kann über die Fahrtrichtungsanzeiger geschaltet werden. Die Schaltung muss so ausgeführt sein, dass alle an einem Zug befindlichen Blinkleuchten gleichzeitig blinken. Der Betrieb der Warnblinkanlage muss durch eine Kontrollleuchte angezeigt werden (s. Abschn. 4.5.).
Der Abstand der Außenkante der leuchtenden Fläche zur Fahrzeugaußenkante darf nicht größer als 40 cm sein. Der Abstand der Innenkanten der leuchtenden Flächen muss mindestens 50 cm betragen.
Der tiefste Punkt der leuchtenden Fläche der Fahrtrichtungsanzeiger darf nicht unter 35 cm liegen.
Der höchste Punkt der leuchtenden Fläche der Fahrtrichtungsanzeiger darf nicht höher als 150 cm über der Fahrbahn liegen.
Schlussleuchten, Bremsleuchten und Rückstrahler
Anhänger müssen an der Rückseite zwei Schlussleuchten für rotes Licht, zwei Bremsleuchten für rotes Licht und zwei rote Rückstrahler besitzen.
Paarweise angebrachte Leuchten und Rückstrahler müssen gleiche Höhe und gleichen Abstand zur Fahrzeuglängsmittelebene haben.
Bremsleuchten müssen beim Betätigen der Betriebsbremse eingeschaltet werden.
Für Anhänger sind Rückstrahler mit der Klassenbezeichnung „III", in Form eines gleichseitigen Dreiecks, zu verwenden. Diese müssen so angebracht werden, dass eine Dreieckspitze nach oben zeigt.
Maßfestlegungen für Schlussleuchten:
Der Abstand der Außenkante der leuchtenden Fläche zur Fahrzeugaußenkante darf nicht größer als 40 cm sein.
Die Innenkanten der leuchtenden Flächen müssen einen Abstand voneinander von mindestens 50 cm haben.
Der tiefste Punkt der leuchtenden Fläche darf nicht unter 35 cm, der höchste Punkt nicht über 150 cm über der Fahrbahn liegen.
Maßfestlegungen für Bremsleuchten:
Die Innenkanten der leuchtenden Flächen müssen einen Abstand von mindestens 50 cm haben.
Der tiefste Punkt der leuchtenden Fläche darf nicht unter 35 cm, der höchste Punkt nicht über 150 cm über der Fahrbahn liegen. Maßfestlegungen für Rückstrahler:
Der Abstand der Außenkante der reflektierenden Fläche zur Fahrzeugkante darf nicht größer als 40 cm sein.
Die Innenkanten der reflektierenden Flächen müssen einen Abstand voneinander von mindestens 60 cm haben.
Der tiefste Punkt der reflektierenden Fläche darf nicht unter 35 cm, der höchste Punkt nicht über 90 cm über der Fahrbahn liegen.
Begrenzungsleuchten
Bei einem Anhänger müssen die äußersten seitlichen Begrenzungen kenntlich gemacht werden, wenn sie mehr als 40 cm über die Scheinwerfer oder Begrenzungsleuchten des ziehenden Fahrzeugs herausragen.
Zur Kenntlichmachung der seitlichen Begrenzung müssen zwei nach vorn gerichtete Begrenzungsleuchten für weißes Licht verwendet werden.
Paarweise angebrachte Begrenzungsleuchten müssen gleiche Höhe und gleichen Abstand zur Fahrzeuglängsmittelebene haben.
Die Außenkante der leuchtenden Fläche darf nicht mehr als 15 cm von der Außenkante des Anhängers entfernt sein. Der Abstand zwischen den Innenkanten zweier leuchtender Flächen darf nicht weniger als 60 cm betragen.
Der tiefste Punkt der leuchtenden Fläche darf nicht unter 35 cm, der höchste Punkt nicht über 150 cm über der Fahrbahn liegen. Wenn die Form des Aufbaus die Anordnung in dieser Höhe nicht zulässt, darf der höchste Punkt maximal 210 cm über der Fahrbahn liegen.
Parkleuchten
Anhänger können mit einer Parkleuchte ausgerüstet sein. Die vordere linke Begrenzungsleuchte und die hintere linke Schlussleuchte müssen gleichzeitig einschaltbar sein.
Die Parkleuchte muss nach vorn weißes und nach hinten rotes Licht zeigen.
Sie muss an der linken Seite des Anhängers so angeordnet sein, dass die Sichtbarkeit von der Fluchtlinie der rechten Anhängerseite aus in 15 m Entfernung hinter dem Anhänger gewährleistet ist.
Der höchste Punkt der leuchtenden Fläche darf nicht über 150 cm und der tiefste Punkt nicht unter 35 cm über der Fahrbahn liegen.
Kennzeichenbeleuchtung
Die Kennzeichenbeleuchtung ist von der Anbringung der polizeilich bestätigten Kennzeichentafel abhängig.
Die an der Rückseite des Anhängers angebrachte Kennzeichentafel darf bis zu einem Winkel von 30° in Fahrtrichtung geneigt sein. Der untere Rand der Kennzeichentafel darf nicht unter 30 cm, der obere Rand nicht über 155 cm über der Fahrbahn liegen.
Das Kennzeichen muss in einem Winkelbereich von je 60° beiderseits der Längsachse des Fahrzeuges lesbar sein.
Die angebaute Kennzeichentafel muss bei Dunkelheit oder schlechter Sicht so beleuchtet sein, dass sie unter einem Aufblickwinkel von etwa 90° auf eine Entfernung von mindestens 20 m deutlich lesbar ist.
Die Beleuchtung hat durch weißes Licht zu erfolgen.
Die Kennzeichenbeleuchtung ist so zu schalten, dass die Begrenzungsleuchten und die Schlussleuchten gleichzeitig mit eingeschaltet werden.
Rückfahrscheinwerfer
Rückfahrscheinwerfer sind so anzubringen und zu schalten, dass die Fahrbahn auf höchstens 10 m hinter dem Anhänger beleuchtet wird und sie nur bei eingelegtem Rückwärtsgang leuchten.
Nebelschlussleuchten
Am Anhänger können ein oder zwei Nebelschlussleuchten angebracht werden.
Paarweise angebrachte Nebelschlussleuchten müssen gleiche Höhe und gleichen Abstand zur Fahrzeuglängsmittelebene haben.
Beim Anbau von nur einer Nebelschlussleuchte ist diese an der linken Außenkante anzubringen.
Nebelschlussleuchten müssen so geschaltet werden, dass sie gemeinsam mit Fernlicht Abblendlicht und Nebelscheinwerfern des Zugfahrzeuges eingeschaltet werden können. Die Bedienung muss über einen getrennten Schalter erfolgen.
Die Inbetriebnahme ist durch eine Kontrollleuchte im Zugfahrzeug anzuzeigen.
Der Abstand der einander zugewandten Kanten der leuchtenden Flächen der Nebelschlussleuchte und der Bremsleuchte muss mindestens 10 cm betragen.
Der tiefste Punkt der leuchtenden Fläche darf nicht unter 25 cm, der höchste Punkt nicht über 100 cm über der Fahrbahn liegen.
Umrissleuchten
Anhänger mit einer Gesamtbreite von mehr als 210 cm können mit je zwei nach vorn und hinten sichtbaren Umrissleuchten ausgerüstet sein.
Umrissleuchten müssen nach vorn weißes, nach hinten rotes Licht ausstrahlen.
Die Anordnung der Umrissleuchten hat in der Breite möglichst nahe der Fahrzeugaußenkante zu erfolgen und in der größten Höhe, die mit der geforderten Lage in der Breite und dem symmetrischen Anbau der Leuchten vereinbar ist.
In der vertikalen Richtung darf der Abstand zwischen einer Begrenzungsleuchte und der weißen Umrissleuchte bzw. einer Schlussleuchte und einer roten Umrissleuchte nicht weniger als 20 cm, gemessen zwischen den Innenkanten der leuchtenden Flächen, betragen.
Rückstrahler
Zusätzlich zu den vorgeschriebenen Rückstrahlern können Anhänger an ihrer Vorderseite mit zwei weißen Rückstrahlern ausgerüstet werden.
Die Rückstrahler müssen die Klassenbezeichnung „I" oder „JA" tragen.
Sie müssen in gleicher Höhe und mit gleichem Abstand zur Fahrzeuglängsmittelebene angeordnet werden.
Der Abstand der Außenkante der reflektierenden Fläche zur Fahrzeugaußenkante darf nicht größer als 15 cm sein.
Die Innenkanten der reflektierenden Fläche müssen einen Abstand voneinander von mindestens 60 cm haben.
Der tiefste Punkt der reflektierenden Fläche darf nicht unter 35 cm, der höchste Punkt nicht über 90 cm über der Fahrbahn liegen. Wenn der Aufbau die Einhaltung dieser Höhe nicht zulässt, darf der höchste Punkt maximal 150 cm über der Fahrbahn betragen.
Anhänger können außerdem an ihren Längsseiten mit gelben Rückstrahlern ausgestattet sein.
Der Abstand zwischen Kugelkupplung und der zugewandten Kante der reflektierenden Fläche des ersten Rückstrahlers sowie zwischen den einander zugewandten Kanten der reflektierenden Flächen zwischen zwei Rückstrahlern darf 300 cm nicht überschreiten. Der Abstand zwischen der Rückseite des Anhängers und der ihr zugewandten Kante der reflektierenden Fläche des hintersten Rückstrahlers darf 100 cm nicht überschreiten.
Mindestens ein Rückstrahler muss im mittleren Drittel des Anhängers (Kugelkupplung -Rückwand) angeordnet sein.
Der tiefste Punkt der reflektierenden Fläche darf nicht tiefer als 35 cm, der höchste Punkt nicht mehr als 90 cm über der Fahrbahn liegen.
Innenbeleuchtung
Die Innenbeleuchtung wird über den Pol Nr. 2 der Anhängersteckdose am Zugfahrzeug abgesichert. Die Verlegung erfolgt vom Verteiler, dabei ist folgendes zu beachten:
Es dürfen keine Leitungen mit massiven Querschnitten verwendet werden. Beim Fahrbetrieb des Anhängers treten Schwingungen auf, die bei massiven Querschnitten zu Leiterbrüchen führen können.
Bei Nennquerschnitten bis 2,5 mm2 ist als Leiterwerkstoff Kupfer zu verwenden.
Der Nennquerschnitt der Leitungen sollte nicht geringer als 1,5 mm2 sein.
Elektrische Leitungen sind so zu verlegen, dass sie gegen mechanische Beschädigungen geschützt sind. Dies trifft insbesondere auf die Verlegung der elektrischen Leitungen auf dem Fußboden und in Staukästen zu. In diesen Bereichen sollten die Leitungen in Leitungskanälen bzw. Kunststoffrohren verlegt werden.
Werden in Campinganhängern Leuchten für 6-/12-V-Kleinspannung und 220-V-Nennspan-nung installiert, sollten die Leuchten für Kleinspannung nur Glühlampen mit Bajonettsockel aufnehmen. Dadurch ist ein Verwechseln der Glühlampen zwischen 6-/12-V- und 220-V-Lam-pen ausgeschlossen.
Elektrische Leitungen für 6-/12-V-Kleinspannung dürfen mit Leitungen höherer Spannung nicht in einem Kanal oder Rohr verlegt werden. Bei einem Spannungsübertritt kann die Fehlerspannung auf die Karosserie des Zugwagens übertragen werden, da bei der Kfz-Elektrik ein Leiter mit der Karosserie verbunden ist.
Die Aderenden der flexiblen Einzeladern müssen an den Anschlussstellen gegen Abspleißen und Abquetschen geschützt sein.
Kabelfarben - Leitungsquerschnitte
Kabelfarben
In den Schaltplänen der Zugfahrzeuge werden die Kabelfarben der elektrischen Leitungen angegeben, an denen die einzelnen Verbraucher angeschlossen sind. Dabei unterscheidet man zwischen Grund- und Kennfarben. Die dafür eingesetzten Kurzzeichen sind international genormt. Als Grundfarbe werden verwendet: Schwarz (sw), grün (gü), Grau (gr), Rot (ro), Braun (br). Als Kennfarben werden im Anhänger verwendet: Rot (ro), Weiß (ws), Grün (gr), Schwarz (sw).
Die Verwendung der im Zugfahrzeug für den jeweiligen Verbraucher eingesetzten Kabelfarbe bei der Anhängerinstallation erspart bei einer späteren Störungssuche viel Zeit und Ärger. Aus Tabelle 2.13 können die dem jeweiligen Verbraucher zugeordneten Kabelfarben entnommen werden.
Tabelle 2.13. Verbraucher - Kabelfarbe - Kabelquerschnitt
| Klemmenbezeichnung an der Steckdose |
Verbraucher | Kabelfarbe | Kabelquerschnitt (mm2) 6 V/12 V |
| KL) | Blinkleuchte, links | schwarz/weiß | 1,0/0,75 |
| 2 (54-g) | Innenbeleuchtung | schwarz | 1,5 |
| 3(31) | Masseanschluss | braun | 1,0 |
| 4(R) | Blinkleuchte, rechts | schwarz/grün | 1,0/0,75 |
| 5 (58 R) | Schlussleuchte, rechts | grau/rot | 1,0/0,75 |
| Kennzeichenbeleuchtung, | |||
| Positionsleuchten | |||
| 6(54) | Bremsleuchte | schwarz/rot | 1,0/0,75 |
| 7(58L) | Schlussleuchte, links | grau/schwarz | 1,0/0,75 |
Leitungsquerschnitte
Beim Anschluss der Verbraucher muss vorher der erforderliche Leitungsquerschnitt berechnet werden. Bei Verwendung von Kupferlitze, deren maximal zulässige Querschnittsbelastung imax = 5 A je mm2 beträgt, gilt für die überschlägliche Berechnung des Leitungsquerschnittes
![]()
AL Leitungsquerschnitt in mm2; P Leistungsaufnahme der Verbraucher in W; U Spannung der E-Anlage des Zugfahrzeuges in V; l Stromdichte (imax = 5 A/mm2).
Als zugeschnittene Größengleichung ergibt sich

Der überschläglich ermittelte Leitungsquerschnitt ist auf den nächstfolgenden standardisierten Leitungsquerschnitt aufzurunden, da bei der Berechnung des Leitungsquerschnittes der eintretende Spannungsabfall (Übergangswiderstand, Leitungslänge) nicht berücksichtigt wurde.
Standardisierte Leitungsquerschnitte: 0,75; 1,0; 1,5; 2,5 und 4,0 mm2
Beispiel:
Der Kühlschrank TA 62 K - 60 l benötigt eine Leistung von 100 W.
Für eine 6-V-Anlage
![]()
Für eine 12-V-Anlage
![]()
Installation der Anhängersteckdose
Bei Fahrzeugen mit elektronischen Blinkgebern wird das schwarz/weiße Kabel von der Klemme des linken hinteren Blinklichts des Zugfahrzeuges zur Klemme Nr. 1 der Anhängersteckdose geführt. Ist eine Zweikreis-Blinkanlage vorhanden, dann muss das Kabel vom freien Steckanschluss des Blinkgebers zur Klemme Nr. 1 geführt werden. Beim Einsatz von Hitzedrahtblinkgebern und einfachen elektronischen Blinkgebern darf keine Parallelschaltung zu den Heckblinkleuchten des Zugfahrzeuges erfolgen (§ 19 (3) der 3. DB zur StVZO). Empfohlen wird die Verwendung des Anhänger-Blinklicht-Bausteins vom Typ AB 6 bzw. AB 12 und des Anhänger-Bremslicht-Bausteins vom Typ BB 6 bzw. BB 12 vom VEB Relaistechnik Großbreitenbach.
Beachte:
Kabel so verlegen, dass am Kabel keine Scheuerstellen entstehen können.
Das schwarze Kabel wird am Sicherungsausgang der Innenbeleuchtung des Zugfahrzeuges angeklemmt und durch den Fahrgastraum zur Anhängersteckdose geführt. Hier wird es an der Klemme Nr. 2 angeschlossen.
Das braune Kabel wird vom Masseanschluss des Zugfahrzeuges zur Klemme Nr. 3 der Anhängersteckdose geführt. Der Masseanschluss kann an den Rückleuchten bzw. der Kennzeichenbeleuchtung des Zugfahrzeuges abgenommen werden.
Das schwarz/grüne Kabel wird von der Klemme des rechten hinteren Blinklichtes des Zugfahrzeuges zur Klemme Nr. 4 der Anhängersteckdose geführt. Bei einer Zweikreis-Blinkanlage wird das Kabel vom freien Steckanschluss des Blinkgebers durch den Fahrgastraum zur Klemme Nr. 4 geführt.
Das grau/rote Kabel wird von der Klemme der rechten Schlussleuchte des Zugfahrzeuges zur Klemme Nr. 5 der Anhängersteckdose geführt.
Das schwarz/rote Kabel wird von der rechten bzw. linken Klemme der Bremsleuchte des Zugfahrzeuges zur Klemme Nr. 6 der Anhängersteckdose geführt.
Das grau/schwarze Kabel wird von der Klemme der linken Schlussleuchte des Zugfahrzeuges zur Klemme Nr. 7 der Anhängersteckdose geführt.
Zur Weiterleitung der an der Anhängersteckdose anliegenden Spannung ist das siebenpolige Kabel am Anhängerstecker so anzuklemmen, dass die am Anhänger anzuschließenden Verbraucher mit der Klemmenbezeichnung der Anhängersteckdose übereinstimmen.
Meinungen zum Thema
Was ist Ihre Meinung zu diesem Artikel? Bisher wurde hierzu noch keine Meinung abgegeben - aber Sie haben doch bestimmt eine!







