2.5.4.1. Starrachsen
Starrachsen werden bei Campinganhängern kaum noch verwendet. Die Ursachen dürften vor allem darin liegen, dass von den Achsherstellern kaum Starrachsen für PKW-Anhänger angeboten werden. Beide Räder einer Achse haben bei Starrachsen eine gemeinsame Aufhängung und Abfederung. Dadurch übertragen sich Bewegungen eines angestoßenen Rades auch auf das andere Rad. Mit dem Einsatz einer Starrachse lässt sich ein hoher Momentandrehpol realisieren und somit eine geringe Seitenwindempfindlichkeit verwirklichen. Beim Ein- und Ausfedern schwankt die Achse um den Punkt Z (Bild 2.132), wobei die Radführung von den Längs- und Diagonalstreben übernommen wird. Für das Rad ergibt sich beim Einfedern die Federsteife
![]()
cF Federsteife der Feder.
Bezogen auf die Seitenneigung ist die Federsteife
![]()

Bild 2.132. Prinzipdarstellung einer durch Lenker geführten Starrachse
Unter der Bedingung, dass c/d größer ist als a/b, kann die Forderung nach einer härteren Seitenneigung realisiert werden. Starrachsen sind für den Einsatz im Campinganhängerbau gut geeignet.
Meinungen zum Thema
Was ist Ihre Meinung zu diesem Artikel? Bisher wurde hierzu noch keine Meinung abgegeben - aber Sie haben doch bestimmt eine!
2.5.4.2. Einzelradaufhängung
Einzelradaufhängungen werden als Längslenker, Querlenker oder Schräglenker ausgeführt. Bei Längs- oder Querlenkeranordnung ohne Lenk- und Nickwirkung steht die Lenkerachse rechtwinklig oder parallel zur Anhängerlängsachse. Die Bewegungen der Räder einer Achslinie sind voneinander unabhängig. Die Federkräfte sind jedoch bei gleichseitigem oder entgegengesetzt gerichtetem Heben der Räder einander gleich. Die Höhenlage des Momentandrehpoles kann durch die Bauart beeinflusst werden.
Längslenker
Längslenker lassen während der Fahrt keine Sturz- und Spuränderung zu. Sie gestatten aber die für PKW-Anhänger gewünschte Schrägfederung, bei der die Stoßrichtung und die Radlastreaktion so zusammenfallen, dass keine horizontale Stoßbeanspruchung unabgefedert aufgenommen werden muss. Als einen typischen Vertreter der Längslenker-Achsen kann die Drehstab-Federachse der Campinganhänger Bastei und Intercamp bezeichnet werden. Aufbau und Funktion dieser Achse werden im Abschn. 4.2.1.1. beschrieben.
Die gute Fahrstabilität, die bei dieser Achse mit großer Spurweite erreichbar ist, ist auf die konstruktive Trennung von Federung und Lagerung zurückzuführen. Dadurch lässt sich eine
exakte Lagerung der Längslenker bei beliebigem Federweg erreichen. Die Kurvenstabilität ist allerdings bei höheren Geschwindigkeiten durch die fehlende Sturz- und Spuränderung nicht so günstig wie bei Quer- und Schräglenkerachsen. Die fehlende Sturzänderung hat aber auch einen Vorteil. Selbst bei extremer Radbeanspruchung, wie dies z. B. beim beladenen Campinganhänger eintritt wird das Reifenprofil nicht einseitig abgefahren.

Bild 2.133. X-Chassis mit als Längslenker angebrachten Dreiecklenkern und Schraubenfederung [25]
Eine andere Möglichkeit der konstruktiven Anbringung von Längslenkern zeigt Bild 2.133. An einen gesonderten Mittelrahmen, der ohne jede Änderung verschieden lange Längsträger für unterschiedliche Aufbaulängen zulässt werden quer zur Fahrzeuglängsachse Dreiecklenker am Rahmenprofil angebracht. Die Lagerung erfolgt in Silentbuchsen.
Durch die Radaufhängung mit Dreiecklenkern und den Einsatz von Schraubenfedern ist bei dieser Lösung weniger Gesamtmasse als bei der Torsionsstabachse erreichbar. Längslenkerachsen mit Neidhart-Gummifedern (Bild 2.134) haben den Nachteil, dass die Radführung nicht exakt gewährleistet ist. Unter der Radlast wird der Gummi zusammengedrückt und es entsteht ein Mittenversatz des Innenrohres zum Achsträger. Während des Federweges ergeben sich somit ungewollte Sturz- und Vorspuränderungen. Zur Verbesserung des Fahrverhaltens dieser Längslenkerachse wird deshalb auch zusätzlich ein Querstabilisator angebaut.

Bild 2.134. Gummifeder-Achse
1 Außenrohr; 2 Gummifeder; 3 Innenrohr mit Querlenkern

Bild 2.135. O- und X-Stellung bei Radaufhängung
Querlenker
Radaufhängungen als Querlenker lassen Sturz- und Spuränderungen zu. Dabei ist die Größe von der jeweiligen Ausgangslage abhängig. Man unterscheidet in O, X und gestreckter Stellung (Bild 2.135), wobei die O- oder gestreckte Stellung größere Spuränderung bringt als die X-Stellung. Der Momentandrehpol liegt in der Höhe des gemeinsamen Pendelgelenkes und bei der verkürzten Pendelachse sogar noch darüber. Durch den relativ hohen Momentandrehpol ist eine geringe Seitenneigung vorhanden, wobei die Seitenneigung des Anhängeraufbaus Sturz und Spur nicht beeinflussen.
Die O-Stellung ist für Campinganhänger-Fahrgestelle nicht zu empfehlen. Bei Seitenwindbelastung würde sich das bereits nach innen gestürzte Rad noch schräger stellen und dadurch die Fahrstabilität negativ beeinflussen.
Die X-Stellung ist wesentlich günstiger. Die Sturzstellung passt sich der Belastung an und beeinflusst die Fahrstabilität positiv. Die Nachteile der Radaufhängung an Querlenkern liegen in der großen Spur- und Sturzänderung beim Aus- und Einfedern. Bei einer wesentlichen Überschreitung der zulässigen Gesamtmasse wird am Rad ein Sturz erreicht, der zum völligen Abschleifen der inneren Lauffläche des Reifenprofiles führt. Außerdem wird der Abstand des Rahmens zur Fahrbahn geringer, und Schäden infolge Aufsetzens sind nicht auszuschließen Bei Einhaltung der zulässigen Gesamtmasse sind diese Schäden jedoch vermeidbar.
Typische Vertreter der Radaufhängung mit Querlenkern sind der Campinganhänger QEK Junior mit Schraubenfedern und der Wohnzeltanhänger Camptourist mit einer Blattfeder. Aufbau und Funktion der Radaufhängung beider Anhänger werden im Abschnitt 4.2.1. beschrieben.
Schräglenker
Im internationalen Campinganhängerbau werden relativ viele Fahrgestelle mit Schräglenker-Radaufhängung gefertigt. Obwohl diese Schräglenkerpendelachsen kinematisch keinen Vorteil gegenüber den bereits beschriebenen Achsen haben, sind sie doch für die Kraftübertragung günstiger. Das Eigenlenkverhalten der Schräglenker-Einzelradaufhängung mit Schraubenfedern, die einen möglichst langen Federweg besitzen, geben einem Campinganhänger gute Fahrstabilität und Bodenhaftung. Weiche Federung und lange Federwege dämpfen die vom Rad kommenden Fahrstöße und schonen somit den Aufbau mit Inneneinrichtung. Mit der Schräglenkerpendelachse kann das Dämpfungsmaß verbessert werden, so dass Pendelbewegungen des Anhängers nach einem Seitenwindstoß schneller abklingen. Zur Erreichung einer guten Fahrstabilität ist aber die Verwendung eines Querstabilisators unerlässlich.
Meinungen zum Thema
Was ist Ihre Meinung zu diesem Artikel? Bisher wurde hierzu noch keine Meinung abgegeben - aber Sie haben doch bestimmt eine!
2.5.4.3. Federung
Die Auslegung der Federung ist für die Fahrstabilität und die Beanspruchung des Anhängeraufbaus entscheidend. Die Federelemente sollen harte Fahrstöße dämpfen. Dabei ist die Wahl der Federung von der Art der Radaufhängung unabhängig. Entscheidend für die Federcharakteristik der Feder ist die gewünschte Hauptteilfrequenz des Aufbaues, die die durch Fahrstöße entstandene Schwingungszahl der gefederten Massen pro Minute angibt.
Im allgemeinen bewegen sich die Hauptteilfrequenzen des Aufbaus von bisher gebauten Campinganhängern zwischen 100 und 200 min-1, während diese Werte bei einem gut gefederten PKW zwischen 50 und 70 min-1 liegen. Dies bedeutet dass die Federung von Anhängern bedeutend härter ist als die der PKW. Es gibt aber keinen einleuchtenden Grund dafür, die Federung der Anhänger härter auszuführen. Im Gegenteil, der extreme Leichtbau zwingt einfach dazu, die Federung der Anhänger der Federung der PKW anzupassen.
Niedrige Frequenz und kleine Schwingbeschleunigung erfordern allerdings große Federwege, die wiederum im Anhängerbau schwierig, aber durchaus realisierbar sind. Der Federweg f kann aus der Schwingungsgleichung berechnet werden. Zur Realisierung der Hauptteilfrequenzen eines PKW-Aufbaus im Campinganhängerbau wären folgende Federwege erforderlich:
Mit der zulässigen Gesamtmasse eines Campinganhängers ergeben sich dann im Ruhezustand maximale Durchfederungswerte bis an die Begrenzungsanschläge einer Feder vom halben Federweg. Da bei Entlastung der Radaufhängung und somit der Feder noch eine Vorspannung vorhanden sein soll, ist es günstig, wenn die Federn mit 15 bis 20 mm Federweg-Vorspannung eingebaut werden.
In der Praxis haben sich 120 . . . 200 mm für Campinganhänger mit einem Einsatzgebiet Landstraße - Geländewege als maximale Durchfederungswerte bewährt.
Mit Hilfe der nachfolgenden Berechnungsgrundlagen sollen die erforderlichen Federparameter ermittelt werden. Die danach ermittelte standardisierte Feder sollte weitgehend den errechneten Werten entsprechen.
Blattfeder (Bild 2.136)
Blattfedern sind in der Lage, Kräfte in Federlängs- und Querrichtung aufzunehmen. Sie besteht aus einer oder mehreren übereinander angeordneten Trapezfedern. Für die Berechnung einer Feder wird angenommen, daß diese in der Mitte eingespannt ist und somit wie eine einseitig eingespannte Feder wirkt.
| Hauptteilfrequenz in min-1 | erforderlicher Federweg in mm |
| 90 | 111,0 |
| 80 | 140,0 |
| 70 | 183,0 |
| 60 | 248,0 |
| 50 | 360,0 |
Allgemein gilt für die mittlere Biegespannung einer Trapezfeder
![]()
σb maximale Biegespannung in N/mm2; Mb maximales Biegemoment in Nmm; Fz wirkende Federkraft in N; l1'wirksame Federlänge in mm; b0 Federblattbreite in mm; h Federblattstärke in mm; n Anzahl der Lagen.

Bild 2.136. Abmessungen einer in der Mitte eingespannten Blattfeder
Mit der Gleichung wird die Reibung zwischen den Federblättern nicht berücksichtigt, so dass eine Sicherheit vorhanden ist, da durch die Reibung die Biegespannung geringer wird. Infolge der Reibung ist die Federkraft um 2 ... 12 % höher. Für den Federweg gilt:

K2 Faktor, der die Trapezform des Federblattes berücksichtigt; E E-Modul (für Stahl 2,1 • 105 N/mm2); l Trägheitsmoment in mm4.
Die zulässigen Werte der Biegeschwingungsfestigkeit liegen bei σb zul = 420 ... 620 N/mm2.
Die Teillänge l1' ergibt sich nach Southeimer aus
l1' = l1 + a/6; (vgl. Bild 2.136).
Der Faktor K2 wird aus dem Verhältnis der kleinsten und größten Blattbreite ermittelt.
| b1/b0 | 0 | 0,1 | 0,2 | 0,3, | 0,4 | 0,5 | 0,6 | 0,7 | 0,8 | 0,9 | 1,0 |
| K2 | 1,5 | 1,39 | 1,315 | 1,25 | 1,202 | 1,16 - | 1,121 | 1,085 | 1,054 | 1,025 | 1,0 |
Für die Federkonstante gilt
![]()
Beachte:
Bei der geschichteten Trapezfeder ist in die Gleichungen für die
Federblattbreite bO der Wert bO
= n b einzusetzen, wobei b die Breite einer Blattfeder ist und n die Anzahl der
übereinander liegenden Federblätter.
Der Zusammenhang zwischen Biegespannung und Federweg ergibt sich aus
![]()
Bei der Ermittlung der Maximalwerte sind die dynamisch wirkenden Belastungen zu berücksichtigen. Diese errechnen sich aus den statischen Ruhelasten, multipliziert mit dem Federlast-Stoßfaktor φF
Fz max = Fz stat · τF
Der Federlast-Stoßfaktor ist mit dem Radlast-Stoßfaktor nicht identisch. Er liegt im Bereich zwischen 1,5 und 2,1.
Zylindrische Schraubendruckfeder
Im Anhängerbau wird fast ausschließlich die zylindrische Schraubenfeder mit Kreisquerschnitt als Druckfeder verwendet. Der Quer- und Längsschub der Achsen kann von den Schraubenfedern nicht übertragen werden. Dieser muss von den Quer-, Schräg- oder Längslenkern aufgenommen werden. Die Federn sollten möglichst unmittelbar neben dem Rad angeordnet werden. Um eine ausreichende Auflage zu haben, ist die Feder mit mindestens 3/4 toten Windungen auszuführen. Bei linearer Kennlinie dürfen sich die Windungen bei größter zulässiger Belastung nicht berühren. Der Abstand zwischen den Windungen im unbelasteten Zustand beträgt 0,1 + fmax / if, wobei fmax der Federweg bei Höchstlast ist und if die Anzahl der wirksamen Windungen.
Für die Federkraft einer Schraubendruckfeder gilt

Für den Federweg gilt
![]()
if Anzahl der wirksamen Windungen;
G Schubmodell (82000 . . . 83000 N/mm2).

Bild 2.137. Berechnungsskizze - Schraubenfeder
Federkonstante
![]()
Beachte:
Bei schwingender Dauerbeanspruchung tritt eine Spannungserhöhung an der
Innenseite des gekrümmten Federdrahtes auf.
Diese Spannungserhöhung ist durch den Faktor K zu berücksichtigen,
![]()
die maximal zulässige Schubspannung ergibt sich unter Berücksichtigung des K-Faktors zu
τmax = τzul / K.
Berechnungsbeispiel
Die Schraubenfeder einer Querlenkachse soll so ausgelegt werden, dass eine Hauptteilfrequenz von 80 min-1 realisiert wird. Diese entspricht einem Federweg um die statische Ruhelage von 140 mm, d. h. f = ± 70 mm.
Folgende Werte sind bekannt:
zulässige Gesamtlast des Anhängers Fges = 5000 N
Eigenlast der ungefederten Lasten FA = 600 N
zulässige statische Schubspannung Tzut = 600 N/mm2
L = 770 mm; l = 630 mm (s. Bild 2.137)
mittlerer Windungsradius r = 90 mm
Radlast-Stoßfaktor φR = 2,3.
Federdrahtdurchmesser:
Das Rad wird bei einer gleichmäßigen Lastverteilung durch die Gesamtlast von 2500 N statisch belastet. Während der Fahrt schwingt die Feder um die sich einstellende Ruhelage mit einem Federweg f = ± 70 mm. Die dynamische Radlast beträgt

Damit ergibt sich die wirksame Federkraft zu

Je weiter die Feder vom Rad entfernt angeordnet wird, desto größer wird Fmax.
Zur Berechnung des Federdrahtdurchmessers muss τmax verwendet werden. Da aber d nicht bekannt ist, wird in erster Näherung K = 1,2 geschätzt.

d gewählt = 14 mm; mit d =14 mm wird K = 1,21.
Erforderliche Windungszahl:
Erfahrungsgemäß reicht die statische Belastung nicht aus, um unter den konstruktiven Einbaumöglichkeiten bereits einen Federweg größer 70 mm zu erreichen. Da sich der Federweg mit zunehmender Belastung linear verändert, kann die erforderliche Windungszahl mit der Differenzkraft ΔF ermittelt werden.

Bei dieser Belastung muss die Feder einen Federweg von 70 mm zurücklegen. Damit wird

Mit der Anzahl der wirksamen Windungen von 9,5 ergeben sich folgende Federwege aus der statischen und maximalen Belastung

Die Feder wird bei der statischen Belastung nur 38,7 mm zusammengedrückt. Um aber einen Federweg von ±70 mm zu ermöglichen, muss die Feder mit 40 mm Vorspannung eingebaut werden. Dies entspricht einer Vorspannkraft von 2280 N.
Drehstabfedern
Im Anhängerbau werden Drehstabfedern (Bild 2.138) quer oder schräg zur Längsachse des Anhängers angeordnet. Wird der Stab als reine Feder benutzt, so ist er an einem Ende fest eingespannt. Über diese Einspannung können der Schwingwinkel und somit die Bodenfreiheit verändert werden, indem die feste Einspannstelle so mit dem Trägersystem verbunden wird, dass sich der gewünschte Schwingwinkel ergibt. Wird der Drehstab als Querstabilisator verwendet, dann entfällt eine feste Einspannstelle, der Drehstab wird als Ausgleichsfeder benutzt. Im Anhängerbau werden fast ausschließlich runde Drehstäbe verwendet, die an den Enden zur Aufnahme der notwendigen Anschlusshebel Verstärkungen mit Flächen- oder Keilwellenverzahnung besitzen. Für die Dauerschwingfestigkeit ist die Gestaltung des Überganges vom zylindrischen Querschnitt zu den Stabaufnahmen wichtig. Wenn ein zur Verfügung stehender Drehstab die vorhandene Last nicht übertragen kann, dann ist die Anordnung von zwei oder mehreren Stäben möglich, die gemeinsam verdreht werden. Die Verwendung mehrerer Drehstäbe gibt der Federung eine größere Sicherheit.

Bild 2.138. Hauptabmessungen einer Drehstabfeder
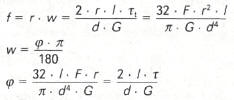
Die wirkende Radlast wird auf die Drehstabfeder über den Hebelarm r übertragen. Für die Kraft am Hebelarm gilt
![]()
Wt Widerstandsmoment (Torsion) mm3; r Hebelarmlänge in mm.
Und für den Federweg

w Federwinkel in rad; G Schubmodul (82 000 ... 83 000 N/mm2); Federkonstante c = Mt / φ, φ Verdrehwinkel in Grad.
Erfahrungswerte:
- Übergangshalbmesser vom Schaft zu den Einspannenden R = 90 mm
- Länge der Einspannenden
lK = (1,75 . . . 2) d2/df bei Kerbverzahnung
lK ~ 2,2 • d2/df bei Keilflächen
df ≤ 1,4 • d Fußkreisdurchmesser bei Kerbverzahnung
df = 1,6 • d Fußkreisdurchmesser unter der Keilfläche - τt zul ~ 700 N/mm2
für Werkstoff 50CrV4.
Für Dauerbeanspruchung bis zu einem Federdurchmesser d = 30 mm beträgt bei geschliffener Oberfläche des Werkstoffes 50CrV4 τta zul = 200 N/mm2 und bei verdichteter Oberfläche τta zul = 300 N/mm2.
Beachte:
Im Anhängerbau kann im allgemeinen von einer Dauerbeanspruchung ausgegangen
werden. Der Schaftdurchmesser ist deshalb mit der zulässigen Mittelspannung τtm
= 350 N/mm2 zu berechnen, und die vorhandene
Ausschlagspannung ist zu überprüfen.
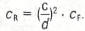
Berechnungsbeispiel:
In einer Anhängerachse soll als Feder ein Drehstab verwendet werden, der eine zulässige Gesamtlast von 8000 N überträgt. Die Radlast greift im rechten Winkel an einem 200 mm langen Schwingarm an. Der Federlastfaktor beträgt φF = 1,8 und der Verspannungswinkel φ = 15 °. Federwerkstoff 50CrV4 - Oberfläche verdichtet. Wie groß müssen der Schaftdurchmesser, die federnde Stablänge und die Federkonstante werden?
Schaftdurchmesser
![]()
Bei gleicher Lastverteilung ist von einem Rad und somit von einer Drehstabhälfte 4000 N zu übertragen. Mit dieser statischen Last wird die Drehstabfeder vorgespannt. Das bei der statischen Radlast wirkende Moment beträgt
Mtm = fstat • Lh = 4000 N • 200 mm
Mtm = 800 000 Nmm.
Mit τtm = 350 N/mm2 ergibt sich der Schaftdurchmesser zu

Durch die Wirkung der Differenzlast zwischen statischer und dynamischer Radlast schwingt die Drehstabfeder um die sich durch die statische Radlast einstellende Ruhelage.
Δ F = Fdyn - Fstat
Fdyn = φF • Fstat = 1,8 • 4000 N
Fdyn = 7200 N
ΔF = 3200 N.
Mit dieser Differenzkraft ergibt sich ein wirksames Moment von
Mta = ΔF • lH = 3200 N • 200 mm
Mta = 640 000 Nmm.
Die wirksame Ausschlagspannung beträgt somit
![]()
Zur Sicherheit ist die maximale Verdrehbeanspruchung zu kontrollieren.

Die federnde Stablänge ergibt sich aus

Mit dieser Federlänge und der dynamisch wirkenden Differenzlast ergibt sich um die Ruhelage ein Verdrehwinkel φ a,

Kann die errechnete Federlänge aus konstruktiven Gründen nicht ausgeführt werden, dann verändert sich der Verdrehwinkel und somit der Federweg. Wird für die Federlänge l = 527 mm verwendet wie dies bei der Drehstabachse der Campinganhänger Bastei und Intercamp der Fall ist, dann ist bei einem Federdurchmesser von d = 23 mm nur ein Verdrehwinkel φ a von 8,6° möglich, und demzufolge ändert sich der Federweg von f, = 94 mm auf f2 = 67 mm. Durch die Änderung der Federlänge verändert sich auch die Hauptteilfrequenz von 97,6 min-1 auf 116 min-1, wodurch sich der Federungskomfort verschlechtert. Die Federungskonstante errechnet sich aus
![]()
Wird die errechnete Federlänge verändert, dann ändert sich auch φm und somit c.
Meinungen zum Thema
Was ist Ihre Meinung zu diesem Artikel? Bisher wurde hierzu noch keine Meinung abgegeben - aber Sie haben doch bestimmt eine!







