2.5.2. Gestaltung von Fahrwerksrahmen mit Zugeinrichtung
Der konstruktive Aufbau eines Campinganhänger-Oberbaus entscheidet darüber, ob ein verwindungsweicher oder ein verwindungssteifer Rahmen benötigt wird. Ist der Oberbau verwindungssteif ausgeführt, so darf kein verwindungsweicher Rahmen gewählt werden. Dieser Rahmen würde auftretende Verwindungen sofort in den Oberbau übertragen und dort Dauerschäden erzeugen. Bei einem verwindungsweichen Oberbau sollte der Rahmen die elastischen Bewegungen des Oberbaus nur soweit mitmachen, dass keine plastischen Verformungen eintreten können.
Beachte:
Campinganhänger mit langen Aufbauten großer Steifigkeit sollten auch
verwindungssteife Rahmen besitzen.
Die Kenntnisse über die Belastung eines Fahrwerksrahmens sind die Voraussetzungen für eine beanspruchungsgerechte Konstruktion.
Mit Hilfe der in den Abschnitten 2.5.1.2. und 2.5.1.3. ermittelten äußeren Kräfte lassen sich die Momentenverläufe im Fahrwerksrahmen und seiner Zugeinrichtung ermitteln. Damit haben wir gleichzeitig die Stellen höchster Beanspruchung. Nachdem diese bekannt sind, muss entschieden werden, ob der Rahmen bzw. die Zugeinrichtung mit Normprofilen konstanter Profilhöhe oder mit Profilen gleicher Festigkeit, d. h. nicht konstanter Profilhöhe, hergestellt werden soll. Unabhängig davon, ob ein Mittelträgerrahmen mit Zugrohr oder ein Rechteckrahmen mit V-Gabel (Bilder 2.111 bis 2.114) als Grundkonzeption gewählt wird, gibt es gleiche Gestaltungsmerkmale, die bei der konstruktiven Bearbeitung zu beachten sind. Diese sind: die Anschlüsse der Zugeinrichtung, die Zugrohrdurchführungen, die Trägeranschlüsse, die Knoten- und Bindebleche, die Krafteinleitungen und die Achsaufhängung.

Bild 2.111. Mittelträgerrahmen mit Torsionsstabachse, ungebremstes Fahrgestell des Campinganhängers Friedel

Bild 2.112. Rechteckrahmen mit ausgebildeter V-Gabel als Zugeinrichtung mit Torsionsstabachse, gebremstes Fahrgestell des Campinganhängers Intercamp

Bild 2.113. Rechteckrahmen mit gesonderter V-Gabel als Zugeinrichtung Zu beachten sind die als Träger gleicher Festigkeit ausgebildeten Rahmenprofile [25]

Bild 2.114. Kober-Fahrwerk mit Schräglenkerachse und in der neutralen Profilfaser eingebrachten Aussparungen zur Masseerleichterung
Anschlüsse der Zugeinrichtung
Die Zugeinrichtung ist das Bauteil des Fahrwerkes, welches die Verbindung zwischen Zugfahrzeug und Campinganhänger herstellt. Sie gehört zu den hoch beanspruchten Baugruppen und ist daher mit großer Sorgfalt zu bearbeiten. Für die Zugeinrichtung der Mittelträgerrahmen werden meist Rohre verwendet, während die Zugeinrichtungen von Rechteckrahmen aus Kastenprofilen, U-, Z-, C- oder Winkelprofilen hergestellt werden.
Die im Bild 2.115 dargestellten Ausführungen sollten vermieden werden. Diese technologisch einfachen Verbindungen schwächen an der Schweißstelle die Festigkeit des Zugrohres und haben eine geringe Dauerfestigkeit. Je nach Beanspruchung kann es bereits nach 2000 bis 4000 Fahrkilometern zum Bruch kommen.
Günstiger sind die im Bild 2.116 dargestellten Verbindungen. Bei der Verwendung von Rippen ist darauf zu achten, dass diese am Übergang Rohr-geschlossenes Profil abgeschrägt werden müssen. Die beiden Schweißnähte dürfen sich nicht in der Ecke treffen, da sonst die mögliche Gestaltsänderungsarbeit des Materials eingeschränkt und dadurch die Bruchgefahr erhöht wird. Für hoch beanspruchte Verbindungen sollte der Verbindung durch Knotenbleche der Vorzug gegeben werden.

Bild 2.115. Einfache Anschlüsse der Zugeinrichtung an geschlossene Profile

Bild 2.116. Günstige Anschlüsse der Zugeinrichtung an geschlossene Profile durch Verwendung von Rippen und Knotenblechen
Die im Bild 2.117 dargestellte Klemm-Schraubverbindung ist für den Anschluss des Zugrohres an der Achse vorgesehen. Zur zusätzlichen Sicherung der Verbindung sollte das Zugrohr durch eine Längsnaht mit der unteren Schelle verschweißt werden.
Im Bild 2.118 ist die Verbindung einer Zugeinrichtung an einem Rechteckrahmen durch Schweißen oder Schrauben dargestellt. Bei der Schweißverbindung ist zu beachten, dass diese Verbindung nur für geschlossene Profile sinnvoll ist. Die Schraubverbindung sollte als gleitfeste Verbindung ausgebildet sein. Dadurch erhält man einen weitgehend ausgeglichenen Kraftfluss und verhindert, dass Spannungsspitzen an den Lochrändern auftreten.
Beachte:
Die geschraubte Verbindung der Zugeinrichtung mit dem Fahrwerksrahmen sollte
möglichst nahe an den Achsbereich gelegt werden. In diesem Bereich hat die
Verbindung Rahmen-Zugeinrichtung die geringste Beanspruchung, während für den
Rahmen die höchste Beanspruchung zu erwarten ist. Ist die Zugeinrichtung
Bestandteil des Rahmens, so entscheidet der Momentenverlauf, an welcher Stelle
die Schweißverbindung ausgeführt wird.
Eine zweite kritische Stelle ist die Verbindung der Kugelkupplung bzw. des Auflaufschubstückes mit der Zugeinrichtung. Obwohl an dieser Stelle der Zugeinrichtung die geringsten Beanspruchungen zu erwarten sind, müssen konstruktive Besonderheiten berücksichtigt werden.

Bild 2.117. Klemm-Schraubverbindung des Zugrohres mit der Achse
links: Ansicht der ausgeführten Verbindung;
rechts: Bauteilskizze

Bild 2.118. Verbindung der Zugeinrichtung mit der V-Gabel eines Fahrwerkrahmens

Bild 2.119. In eine V-Gabel eingeschweißtes Auflaufschubstück mit angeschraubter Kugelkupplung

Bild 2.120. Auf die V-Gabel aufgeschraubtes Auflaufschubstück
Beim gebremsten sowie beim ungebremsten Campinganhänger wird die Kugelkupplung mit einem Rohr von 0 60 bzw. 70 mm verschraubt (Bild 2.119). Diese Verbindung darf sich durch Fahrschwingungen nicht lockern. Aus diesem Grund sollten im Rohr Distanzhülsen eingeschweißt werden, die ein Zusammendrücken des Zugrohres durch die Schraubverbindung verhindern und somit eine plastische Verformung vermeiden. Ähnlich verhält es sich, wenn das Auflaufschubstück (Bild 2.120) auf die V-Gabel aufgeschraubt wird. Das hier sichtbare offene C-Profil würde sich ohne eingeschweißte Distanzhülsen durch die Schraubverbindung plastisch verformen und zur Lockerung der Schraubverbindung führen.
Beachte:
Für festigkeitsbeanspruchte Schraubverbindung dürfen an der Zugeinrichtung
nur Schrauben nach TGL 10826 mit den Festigkeitseigenschaften 8 G verwendet
werden.
Zugrohrdurchführungen
Da das Zugrohr in den seltensten Fällen am ersten Querträger des Fahrwerkrahmens befestigt wird, sind Zugrohrdurchführungen in jedem Fahrwerk vorhanden. Entscheidend für den fertigungstechnischen Aufwand einer Zugrohrdurchführung ist ihre Beanspruchung im Zusammenhang mit der Dauerfestigkeit.
Die im Bild 2.121a dargestellte Ausführung darf nur für einfachste Beanspruchungen gewählt werden. Dies wäre der Fall, wenn ein Rahmenquerträger nur zur Stabilisierung der Bodengruppe eingeschweißt wird und keine unmittelbare Funktion im Fahrbetrieb zugeordnet bekommt. Die vollkommene Umschweißung des Zugrohres schwächt gleichzeitig den belasteten Querschnitt der Zugeinrichtung und ist nur bei einer Überdimensionierung der Zugeinrichtung zulässig.
Dies gilt auch für die im Bild 2.121 b dargestellte Schweißverbindung des Rahmenbockes mit dem Achsrohr. Diese Zugrohrdurchführung kann für höhere Beanspruchungen eingesetzt werden. Günstig bei dieser Ausführung ist die am Zugrohr in der neutralen Faser ausgeführte Längsschweißnaht. Es tritt eine vernachlässigbare Schwächung des Zugrohres ein, so dass dieses nicht überdimensioniert werden muss. Gleichzeitig erhält man durch die Halbschalen eine Verstärkung der Zugeinrichtung. Diese Ausführung ist besonders zur Übertragung von Längs- und Vertikalkräften geeignet.

Bild 2.121. Zugrohrdurchführung
links: für höhere Belastungen; rechts: für geringe Belastung
Beachte:
Bei Verwendung von Halbschalen sind diese an beiden Längsseiten halbrund
auszuführen. Durch diese Maßnahme wird ein elastischer Übergang vom Zugrohr zur
Halbschale gewährleistet.
Eine wesentliche Erhöhung der zulässigen Beanspruchung erreicht man durch Einschweißen eines Stegbleches mit elastischem Übergang (Bild 2.122). Dadurch wird das offene Profil im Bereich der höchsten Beanspruchungen zum geschlossenen Profil und ist in diesem Bereich in der Lage, wesentlich höhere Biege- und Torsionsbeanspruchungen aufzunehmen.
Das Einschweißen von Rippen ist nur dann sinnvoll, wenn Horizontalkräfte, die z. B. beim Schlingern und Schleudern verstärkt auftreten, übertragen werden sollen. Eingeschweißte Rippen sind nicht in der Lage, über einen längeren Zeitraum Horizontalkräfte, die um die Querachse des Campinganhängers wirken, zu übertragen.
Beachte:
Rechteckige Stegbleche ohne elastischen Übergang sollten vermieden werden,
da dadurch ein plötzlicher Sprung der Verdrehfestigkeit zu verzeichnen ist. Die
Wechselfestigkeitswerte des Materials können bis zu 75 % der sonst erreichbaren
Werte absinken. Bei Fahrwerkkonstruktionen sind plötzliche Steifigkeitssprünge
zu vermeiden.

Bild 2.122. Stegblechausführungen
a) mit elastischem Übergang, wie er bei offenen Profilen bis zu einer
Rahmen-Profilhöhe von 200 mm angewendet werden kann.
Durch diese konstruktive Lösung wird vermieden, dass am Übergang Stegblech -
offenes Profil schlagartig hohe Normalspannungen auftreten, die zum Zerstören
des offenen Profilrahmens führen.
b) allmählich ansteigendes Stegblech
Trägeranschlüsse
Der Fahrgestellrahmen besteht aus Längs- und Querträgern, die zu einer tragenden Rahmenkonstruktion verbunden werden müssen. Die Verbindungsstellen der einzelnen Träger können geschweißt oder geschraubt ausgeführt werden. Wir unterscheiden dabei geradlinige und Eckverbindungen.
Schweißverbindungen können als Stumpf-, Überlappungs-, Eck- und T-förmige Verbindungen ausgeführt werden. Schweißverbindungen sollten möglichst immer an den Stellen der geringsten Beanspruchungen liegen. Da es sich bei Fahrwerken um dynamische Belastungen handelt sollte man sich bei der Festlegung der Lage der zu verbindenden Trägerelemente von folgendem Grundsatz leiten lassen:
Die erreichbare Dauerfestigkeit für den eingesetzten Werkstoff ist um so größer, je ungehinderter und geradliniger der Kraftfluss in der Schweißverbindung verläuft. Der Kraftfluss an der Stelle einer Schweißverbindung verläuft grundsätzlich über die Schweißnaht. Die Behinderung des Kraftflusses erfolgt durch die Kerbwirkung der Schweißnaht. Aus diesem Grund sind auch die Ausführung des Überganges zwischen Grundwerkstoff und Schweißnaht und die Ausführungsklasse der Naht für die erreichbare Dauerfestigkeit entscheidend. Deshalb sollen alle tragenden Schweißnähte möglichst kerbfrei ausgeführt werden. Bild 2.123a zeigt den Kraftflussverlauf bei Stumpfverbindungen. Während der Kraftfluss bei den Verbindungen mit I-, V-, U-, X- und Y-Nähten ohne jede Ablenkung durch die Schweißnaht verläuft wird er bei der Verbindung mit Kehlnähten über die Schweißnähte abgelenkt. Bild 2.123b stellt den Kraftflussverlauf in Eck- und T-Verbindungen dar. Für die dynamisch beanspruchten Eckverbindungen ist es für die Kraftflussumleitung günstig, wenn die Schweißnaht außerhalb der Ecke gelegt werden könnte.

Bild 2.123. Kraftflussverlauf a) bei Stumpfverbindungen; b) in Eck- und T-Verbindungen
Schraubverbindungen sollten auf Grund der dynamischen Beanspruchungen gleitfest ausgeführt werden. Hierbei wird zur Übertragung der im Profilquerschnitt wirkenden Kräfte der Reibwiderstand des Profilmaterials genutzt. Dieser entsteht durch das Zusammenpressen der zu verbindenden Rahmenprofile mit Hilfe der entstehenden Schraubenkraft. Günstig bei einer gleitfesten Schraubverbindung ist es, dass der Kraftfluss über die gesamte Kontaktfläche verläuft und nicht zum Schraubenschaft konzentriert wird. Dadurch verhindert man gleichzeitig das Entstehen von Spannungsspitzen an den Lochrändern, wie es z. B. beim Nieten und dem Einsatz von Passschrauben auftritt.
Tritt durch Materialermüdung ein geringfügiges Gleiten der Schraubverbindung auf, so ist immer noch die Sicherheit der Abscher- bzw. der Lochleibungsdruckfestigkeit vorhanden. Um ein Gleiten der verbundenen Teile zu vermeiden, sollten die Berührungsstellen durch entsprechende Oberflächenbehandlung möglichst hohe Reibwerte erhalten. Die Berechnung gleitfester Schraubenverbindungen erfolgt nach [8].
Vorspannkraft in Mp bei Festigkeitseigenschaften für μh ≈ 0,35
| 8G | 10 K | 12 K | |
| M 8 | 1,6 | 2,3 | 2,7 |
| M 10 | 2,5 | 3,6 | 4,3 |
| M 12 | 3,6 | 5,2 | 6,2 |
| M 16 | 6,8 | 9,8 | 11,7 |
| M20 | 10,7 | 15,3 | 18,3 |
Beachte:
Ein günstiger Kraftflussverlauf erhöht die Dauerfestigkeit des verwendeten
Werkstoffes, ist aber noch keine Garantie für die Haltbarkeit der
Schweißverbindung. Diese muss über einen Festigkeitsnachweis ermittelt werden.
Dauerfestigkeitswerte für die für Fahrgestellrahmen verwendeten Werkstoffe sind in Tabelle 2.18 zusammengestellt.
Im Bild 2.124 sind verschiedene Eckverbindungen als Schweißkonstruktion dargestellt. Dabei wird die Lebensdauer dieser Verbindungen bei Biegetorsion verglichen. Es zeigt sich, dass durch einfache konstruktive Lösungen die Lebensdauer einer Eckverbindung bei dynamischer Beanspruchung um fast das Hundertfache erhöht werden kann, ohne dass ein wesentlich höherer technologischer Aufwand erforderlich ist.
Tabelle 2.18. Festigkeitswerte für Werkstoffe nach TGL 7960, die für Fahrgestellrahmen verwendet werden
| Stahlmarke | Spannungen in N/mm2 | |||||||||
| σB | σF | σS | τF | σbw | σzdw | τW | σbsch | σzsch | τsch | |
| St 34 | 340 | 240 | 220 | 130 | 160 | 120 | 90 | 240 | 190 | 130 |
| St 38b-2 | 380 | 260 | 240 | 150 | 180 | 130 | 100 | 260 | 210 | 150 |
| St 42 | 420 | 300 | 260 | 160 | 200 | 140 | 120 | 300 | 240 | 160 |
| St 50 | 500 | 370 | 300 | 190 | 240 | 180 | 140 | 370 | 300 | 190 |
| St 52-3 | 520 | 420 | 360 | 220 | 280 | 200 | 160 | 410 | 330 | 220 |
Es bedeuten:
| σS | Bruchfestigkeit | σbw | Biege-Wechselfestigkeit | σzsch | Zug-Schwellfestigkeit |
| σF | Fließgrenze | σzdw | Zug-Druck-Wechselfestigkeit | τsch | Torsions-Schwellfestigkeit |
| σS | Streckgrenze | τW | Torsionsdauerfestigkeit im Wechselbereich | ||
| τF | Fließgrenze bei Torsionsbeanspruchung | σbsch | Biege-Schwellfestigkeit |

Bild 2.124. Lebensdauervergleiche von Rahmenecken aus dünnwandigen Kastenprofilen bei Biegetorsion [26]

Bild 2.125 Schubmittelpunkt M und Schwerpunkt S
a) von im Fahrzeugbau üblichen Profilen
b) Längsträgerkonsole für die Lastaufnahme im Schubmittelpunkt
Krafteinleitung
Bei Torsionsbeanspruchung erfolgt die Verdrehung eines Profilquerschnittes um den Schubmittelpunkt. Gelingt es, die Krafteinleitung in den Schubmittelpunkt eines Profiles zu legen, hat man von vornherein eine zusätzliche Torsionsbeanspruchung des gewählten Rahmenprofiles vermieden. Ist dies nicht möglich, dann sollte die Krafteinleitung symmetrisch zum Schubmittelpunkt erfolgen. Im Bild 2.125a ist die prinzipielle Lage des Schubmittelpunktes M sowie des Schwerpunktes S für im Fahrzeugbau übliche Profile zu erkennen. Werden Konsole (Bild 2.125b) an den Rahmenprofilen zur Krafteinleitung angeschweißt, so sollte die Höhe der Konsole gleich der Höhe der Profile sein. Dadurch wird gewährleistet, dass die Krafteinleitung über eine größere Fläche in die Rahmenprofile erfolgt. Die Konsole sollten nach dem Prinzip der Träger gleicher Festigkeit gestaltet sein.
An den Stellen, wo zur Stabilisierung des Oberbaues bzw. zur Verbesserung der Standfestigkeit des Campinganhängers an den Längsprofilen Ausleger angebracht werden, sollten diese möglichst an den Stellen liegen, wo zwischen den beiden Längsträgern Querträger angebracht sind. Dadurch können die eingeleiteten Torsionsmomente minimiert werden.
Mit steifen Seitenwänden ist die Flächenbelastung der Längsträger gegeben, diese ist gegenüber der Punktbelastung zu bevorzugen.
Achsaufhängungen
Die Achse ist das Bindeglied zwischen dem Fahrwerksrahmen und den Rädern. Im Campinganhängerbau haben sich Starrachsen, Halbachsen und Einzelradaufhängungen bewährt. Von der Wahl der Achse ist die Art der Achsaufhängung abhängig.
Bild 2.126 zeigt eine Drehstabfederachse, wie sie bei den Campinganhängern Bastei und Intercamp verwendet wird. Über die auf dem Achsrohr aufgeschweißten Auflageböcke wird die Verbindung zwischen Achse und Rahmen durch Verschraubung hergestellt.
Beachte:
Die Rahmenprofile bestehen aus dünnwandigem Blech und sind durch
Schraubverbindungen deformierbar. Aus diesem Grund sind im Rahmenprofil, in
Längsrichtung der Schraubverbindung, Stabilisierungshülsen einzuschweißen.
Es ist auch möglich, das Achsrohr in den Längsträger einzuschweißen. In diesem Fall sollte der Mittelteil des Längsträgers kurz gehalten werden, da er bei einem eventuellen Austausch der Drehstabachse mit ausgewechselt werden müsste.

Bild 2.126. Drehstabfederachse mit Achsböcken, die am Rahmenlängsträger angeschraubt sind

Bild 2.127. Verbindung der Dreiecklenker am Zentralrohrrahmen

Bild 2.128. Verbindung von Dreiecklenkern mit offenem Querträger
Bild 2.127 zeigt die Verbindung der Dreieckslenker am Zentralrohrrahmen des Campinganhängers QEK Junior. Die Verbindung erfolgt über am Zentralrohr angeschweißte Stegbleche mittels Schraubverbindung. Die Bewegung des Dreiecklenkers wird über Anlaufscheibe, Distanzscheibe und eingepresste Silentbuchse gewährleistet. Eine zusätzliche Verstärkung der am Zentralrohr angeschweißten Stegbleche ist nicht erforderlich. Die Dreiecklenker haben eine Führungsfunktion, während die Lastaufnahme über den Querträger erfolgt. Bild 2.128 zeigt die Verbindung von Dreiecklenkern mit einem offenen Querträger. Auch bei dieser Lösung haben die Dreiecklenker Führungsfunktion, während die Lastaufnahme über angeschweißte Konsole in die Längsträger eingeleitet wird.
Meinungen zum Thema
Was ist Ihre Meinung zu diesem Artikel? Bisher wurde hierzu noch keine Meinung abgegeben - aber Sie haben doch bestimmt eine!
2.5.3. Überschlägliche Berechnung eines Fahrzeugrahmens
Für den nach Bild 2.129 entworfenen Fahrzeugrahmen sollen die elementare Berechnung der Spannungen an den kritischen Stellen und die Dimensionierung der Rahmenlängsträger nach den zulässigen Spannungen erfolgen.

Bild 2.129. Fahrgestellkonzeption für Berechnungsbeispiel

Bild 2.130. Belastungsschema für das Berechnungsbeispiel

Bild 2.131. Ermittlung des Querkraft- und Momentenverlaufes
Vorgegebene Bedingungen
| Gesamtmasse | 800 kg |
| Leermasse | 550 kg |
| Zuladung | 250 kg |
| Teilmassen Rahmen, Achse, Räder und Kugelkupplung | 160 kg |
| Stoßfaktor | φ = 2,5 |
| Bremsverzögerung | a = 0,6 · g |
 Schwerpunktkoordinaten nach Abschnitt 2.5.1.1.
Ermittlung des Belastungsschemas (Bild 2.130)
Im Belastungsschema werden alle vertikal wirkenden Lasten für die Berechnung der Rahmenlängsträger berücksichtigt. Diese setzen sich wie folgt zusammen: Flächenbelastung durch den Oberbau
![]()
Verteilung der Zuladung in den Bettkästen und im Mittelbereich
FH = 600 N; FM = 900 N; FV
- 1000 N.
Ermittlung des Querkraft- und Momentenverlaufes (Bild 2.131)
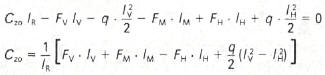
Fr + Czo - FH - FM - FV - q • l = 0

Czo = 416 N
FR= FH+ FM+ FV+ q • l - Czo
FR = 5984 N.
Probe:
| Czo + FR = FH + FM + FV + q • l | = 640 kp |
| + Teillasten Rahmen, Achse, Räder und Kugelkupplung | Â = 160 kp |
| Gesamtbelastung | 800 kp |
Beachte:
Die Last FR ist nicht identisch mit den Radlasten Azo
und Bzo.
Ermittlung der maximalen Kupplungslast
Für die Dimensionierung der Zugeinrichtung muss die errechnete Kupplungslast mit dem Stoßfaktor multipliziert werden:
Cz* = Czo • φ = 1040 N.
Andererseits ist nach Abschnitt 2.5.1.4. die Kupplungslast aus der maximalen Bremsverzögerung in vertikaler Richtung zu ermitteln. Aus der bereits bekannten Gleichung
![]()
und den im Bild 2.130 enthaltenen Abmessungen ergibt sich
![]()
Die Kupplungslast aus der maximalen Bremsverzögerung ist kleiner und wird somit für die Dimensionierung der Zugeinrichtung nicht verwendet.
Mit Cz* = 1040 N erhalten wir an der Stelle I im Bild 2.131 ein Biegemoment von Mb = 166 400 Ncm.
Ermittlung der maximalen Widerstandsmomente
Die ermittelten Biegemomente an den Stellen I und II werden mit dem vorgegebenen Stoßfaktor multipliziert:
Ml max= Ml · φ = 166 400 Ncm
Mll max= Mll · φ = 528 500 Ncm
Für die Rahmenprofile besteht Schwellbeanspruchung, während für die Zuggabel Wechselbeanspruchung zu erwarten ist. Nach Tabelle 2.18 ergeben sich für St 38b-2 folgende zulässige Spannungswerte
σbw zul = 180 MPa; σb sch zul = 260 MPa.
Mit diesen Werten ergeben sich folgende maximale Widerstandsmomente an den Stellen I und II:

Festlegung der Rahmen- und Zuggabelprofile
Die Berechnung zeigt dass in diesem Beispiel nicht die Zuggabel an der Stelle I - Vorderkante Oberbau -, sondern der Rahmenmittelbereich als kritische Stelle zu betrachten ist.
Folgende Normprofile können für den Rahmenlängsträger verwendet werden:
| Profil | TGL | Wx erf cm3 |
Wx vorh cm3 |
Masse je Meter in kg |
| Kastenprofil | 18803 | Â | Â | Â |
| 80 x 34 x 2,5 | Â | 10,16 | 10,1 | 4,13 |
| 88 x 45 x 2,0 | 10,16 | 11,5 | 3,96 | |
| 70 x 34 x 4,0 | 10,16 | 11,4 | 5,65 | |
| 63 x 40 x 4,0 | 10,16 | 11,0 | 5,59 | |
| 63 x 63 x 2,5 | 10,16 | 11,2 | 4,60 | |
| U-Profil | 7969 | Â | Â | Â |
| 63 x 50 x 4 | Â | 10,16 | 12,2 | 4,71 |
| 80 x 32 x 4 | 10,16 | 11,6 | 4,11 | |
| 80 x 40 x 3 | 10,16 | 11,0 | 3,54 | |
| 80x50x2,5 | 10,16 | 11,3 | 3,37 | |
| 100 x 25 x 3 | 10,16 | 10,7 | 3,30 | |
| C-Profil | 18802 | Â | Â | Â |
| 63 x 50 x 20 x 3 | Â | 10,16 | 10,6 | 4,29 |
| Z-Profil | 18800 | Â | Â | Â |
| 63 x 40 x 4 | Â | 10,16 | 9,9 | 4,05 |
| 80 x 63 x 40 x 3 | 10,16 | 11,6 | 4,06 |
Richtet man sich nach dem erforderlichen Widerstandsmoment, so lässt sich eine ganze Reihe von geschlossenen und offenen Standardprofilen verwenden. Obwohl die ausgewählten Profile fast alle die erforderlichen Widerstandsmomente Wx besitzen, differiert die Masse je Meter Profillänge von 3,3 kg bis 5,65 kg.
Â
Es wäre jedoch voreilig, das Profil mit der geringsten Masse einzusetzen. In der überschläglichen Berechnung wird der Einfluss von Torsion nicht berücksichtigt. Wählen wir ein offenes Profil, so sind an den Stellen, an denen Torsionsmomente in den Rahmen eingeleitet werden, Versteifungen erforderlich. Ähnlich kann die Auswahl von Normprofilen für die Zuggabel erfolgen.
Das konzipierte Fahrgestell soll Rahmen- und Zuggabelprofile gleicher Festigkeit haben. Diese Profile sind keine Standardprofile und müssen angefertigt werden. Durch diese Maßnahme kann eine Materialeinsparung bis zu 40 % erreicht werden, da das erforderliche Widerstandsmoment Wx = 10,16 cm3 nur an der Stelle II benötigt wird.
Meinungen zum Thema
Was ist Ihre Meinung zu diesem Artikel? Bisher wurde hierzu noch keine Meinung abgegeben - aber Sie haben doch bestimmt eine!
2.5.4. Radaufhängung
Die Art der Radaufhängung bestimmt im wesentlichen das Fahrverhalten des Campinganhängers. Durch die Radaufhängung sollten eine breite Fahrspur sowie eine relativ gute Federung mit weicher, progressiver Federkennlinie realisierbar sein. Die Radaufhängungen müssen auf Grund der großen Seitenflächen eines Campinganhängers hohe Seitenkräfte aufnehmen, gute Geradeauslaufeigenschaften und einen hohen Momentandrehpol besitzen. Sie sind das Bindeglied zwischen den Rädern und dem Anhängeraufbau. Nach der Wirkungsweise werden zwei Gruppen von Radaufhängungen unterschieden: die Starrachsen und die Einzelradaufhängungen.
Meinungen zum Thema
Was ist Ihre Meinung zu diesem Artikel? Bisher wurde hierzu noch keine Meinung abgegeben - aber Sie haben doch bestimmt eine!







