2.5.1.5. Kipp- und Rutschgrenzen
Mit Hilfe der ermittelten Gesamtmasse und der Schwerpunktlage kann die Sicherheit gegenüber Kippen ermittelt werden. Diese Ermittlung sollte vor der Berechnung des Rahmens erfolgen, da sich eine evtl. Neukonzipierung ergeben kann, wenn keine Kippsicherheit vorhanden ist.
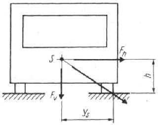
Ein Rutschen oder Kippen des Campinganhängers während der Fahrt erfolgt durch das Wirken der Flieh- und Windkräfte. Wirken Fliehkräfte nur bei Kurvenfahrten oder beim unverhofft eintretenden Schleudern, so können Windkräfte in allen Fahrzuständen wirken. Nach Bild 2.107 ist Kippsicherheit vorhanden, wenn
![]()
Um zu prüfen, ob der Campinganhänger kippt oder rutscht, ist die zweite Bedingung
Fh = μh Fv; μh siehe Tabelle 2.15.
Ist ys / h > μh,so ist die Kippsicherheit gewährleistet, da der Campinganhänger vor Erreichen der seitlichen Horizontalkraft Fh rutscht.

Bild 2.107. Am Campinganhänger wirkende Kräfte, die ein Kippen oder Rutschen verursachen
Tabelle 2.15. Haftbeiwert μh zwischen Reifen und Fahrbahn [9]
| Fahrbahnbelag | Geschwindigkeit km/h | Zustand | μh | |
| Zementboden | bis | - 40 |
trocken nass |
bis 1 bis 0,6 |
| über | 80 | trocken nass |
0,7 0,5 |
|
| Asphaltbeton | bis | - 40 | trocken nass |
bis 1 0,5 ... 0,7 |
| über | 60 | trocken nass |
bis 0,8 bis 0,6 |
|
| Kleinpflaster | um | 60 | trocken nass |
bis 0,8 bis 0,5 |
| Erdweg | um | 40 | trocken nass |
bis 0,5 um 0,2 |
| Hartschnee mit Spikes mit Schneeketten |
0,1 .. .0,4 bis 0,45 bis 0,6 |
|||
| Eis mit Spikes mit Schneeketten |
0,05 . . . 0,15 bis 0,4 bis 0,5 |
|||
Die Zunahme der Geschwindigkeit führt stets zur Abnahme des Haftbeiwertes. Im Bereich zwischen 80 und 140 km/h ist mit nahezu linearem Abfall bei nasser Fahrbahn zu rechnen. Die genannten Werte können unter günstigen Umständen überschritten werden. Die Werte bei Nässe gelten nur bei ausreichender Profilierung. Alle Werte sind erheblichen Schwankungen (Witterung, Jahreszeit, Abnutzung von Rad und Fahrbahn, Verschmutzung) unterworfen. Bei größerer Geschwindigkeit, abgenutzten Reifen und starker Nässe ist mit Aufschwimmen (Aquaplaning, μh ≈ 0) zu rechnen.
Ermittlung der seitlichen Horizontalkraft Fh
a) Für Kurvenfahrt
Gges Gesamtgewicht des Campinganhängers in N; v Fahrgeschwindigkeit in km/h; R Kurvenradius in m.
Beachte:
Es wird angenommen, dass die Fliehkraft Fh und das
Gesamtgewicht im Schwerpunkt des Campinganhängers angreifen.
![]()
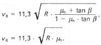
Die Grenzgeschwindigkeit in km/h für das Kippen des Campinganhängers, ergibt sich aus

Ohne Kurvenüberhöhung wird
![]()
Die Grenzgeschwindigkeit vR, bei der das Rutschen des Campinganhängers einsetzt ergibt sich aus

Beachte:
vR sollte immer kleiner als vK
sein, da sonst keine Kippsicherheit vorhanden ist.
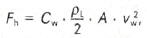
b) Als Windkraft
Trifft der Wind im rechten Winkel zur Fahrtrichtung auf die Seitenwand des Campinganhängers auf, so versucht die vorhandene Windkraft das Fahrzeug seitlich zu verschieben. Der Windkraft entgegen wirkt der Reibwiderstand zwischen Reifen und Fahrbahn. Für die rechtwinklig zur Fahrtrichtung wirkende Horizontalkraft Fh gilt
![]()
Cw Widerstandsbeiwert der Seitenwand (Cw 0,7 bis 0,9); PL Luftdichte 1,29 kg/m3; A Querschnittsfläche der Seitenwand in m2; vw Windgeschwindigkeit in m/s (s. Tabelle 2.16).
Tabelle 2.16. Mittlere Häufigkeit von Windgeschwindigkeiten [9]
| Benennung | Windgeschwindigkeiten | Häufigkeit % | |
| Â | Â m/s | km/h | Â |
| Leichte Brise | 2 | 7 | 21,4 |
| Mäßige Brise | 2. . . 5 | 7 . . . 18 | 44,2 |
| Starker Wind | 5 . . . 10 | 18 . . . 36 | 31,6 |
| Sturm | 10. . . 15 | 36 . . . 55 | 2,6 |
| Orkan | 15 | 55 | 0,2 |
Meinungen zum Thema
Was ist Ihre Meinung zu diesem Artikel? Bisher wurde hierzu noch keine Meinung abgegeben - aber Sie haben doch bestimmt eine!
2.5.1.6. Beanspruchungsgrößen als Funktion der Geschwindigkeit
Im Abschnitt 2.5.1.4. wurden die dynamischen Lasten, die während der fahrt am Fahrzeugrahmen wirken, mit Hilfe von Stoßfaktoren berechnet. Es bestehen Zusammenhänge zwischen Radlast Fahrgeschwindigkeit und Fahrbahnzustand. Um diese Abhängigkeiten zu ermitteln, wurden mit mehreren Campinganhängern Versuche durchgeführt [30][31]. Die Ergebnisse sind in den Bildern 2.108 und 2.109 aufgezeichnet. Aus dem Kurvenverlauf erkennt man deutlich, dass die höchste Beanspruchung nicht bei hohen Geschwindigkeiten auftritt, sondern im Geschwindigkeitsbereich zwischen 40 ... 60 km/h. Da diese Geschwindigkeit zu ca. 60 % während der Einsatzzeit eines Campinganhängers zu erwarten ist, sollte die Steifigkeit des Fahrzeugrahmens konstruktiv so ausgelegt sein, dass die maximale Beanspruchung bei Fahrgeschwindigkeiten oberhalb 80 km/h zu erwarten ist. Dies kann z. B. durch Vorspannen des Fahrzeugrahmens bzw. durch Einbeziehen der Längsträger in die Bodengruppe erreicht werden.

Bild 2.108. Auftretende Spannungen an hoch belasteten Messstellen von Fahrwerksrahmen beim Fahren über eine Bodenwelle

Bild 2.109. Auftretende Spannungen an hoch belasteten Messstellen von Fahrwerksrahmen beim Fahren über Kopfsteinpflaster
Bei Einbeziehung der Längsträger in die Bodengruppe kann man allerdings Korrosionsschäden nicht mehr rechtzeitig durch Sichtkontrolle erkennen.
Wird die maximale Beanspruchung in Geschwindigkeitsbereiche oberhalb 80 km/h gelegt so werden dadurch die Betriebsfestigkeit und die Lebensdauer wesentlich erhöht. Gleichzeitig kann eine Massereduzierung des Fahrwerkrahmens erreicht werden.
Meinungen zum Thema
Was ist Ihre Meinung zu diesem Artikel? Bisher wurde hierzu noch keine Meinung abgegeben - aber Sie haben doch bestimmt eine!
2.5.1.7. Kräfte an der Anhängekupplung des Zugfahrzeuges
Die wirkenden Kräfte an der Anhängekupplung des Zugfahrzeuges sind für das Fahrverhalten des PKW mit Campinganhänger von besonderer Bedeutung. Im Abschnitt 2.5.1.4. wurde für die Ermittlung der in z-Richtung wirkenden Kupplungskraft C der Stoßfaktor 3,4 angesetzt.

Bild 2.110. Anhängerzugvorrichtung mit Dehnmessstreifen zur Ermittlung der während des Fahrbetriebes tatsächlich auftretenden Kupplungskräfte
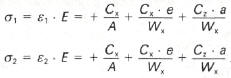
Um zu überprüfen, ob dieser hoch erscheinende Stoßfaktor gerechtfertigt ist, kann man an der Anhängerzugvorrichtung Dehnmessstreifen mit 5 mm bzw. 10 mm aktiven Längen anbringen (Bild 2.110). Mit den im Bild eingezeichneten Größen sowie der im Querschnitt 1 - 2 vorhandenen Querschnittsfläche A des Zugrohres ergibt sich:
ε1 = εn + εx + εz; ε2 = εn - εx - εz.
Mit Hilfe der gemessenen Dehnungen kann über das Hookesche Gesetz die vorhandene Spannung in den Punkten 1 und 2 ermittelt werden.

Tabelle 2.17. Längs- und Querkräfte in Abhängigkeit von der Fahrgeschwindigkeit an einer Anhängerzugvorrichtung mit einem Campinganhänger von 650 kg Gesamtmasse
| Geschwindigkeit
in km/h |
Fahrzustand | Längskraft
Cx in N |
Querkraft
Cz in N |
| 20 | Bodenwelle | - 300 | + 300 |
| Bremsung (2 m/s2) | - 410 | + 400 | |
| Schlagloch | + 3100 | + 270 | |
| 40 | Bodenwelle | + 660 | - 330 |
| Bremsung (2 m/s2) | + 590 | - 180 | |
| Schlagloch | + 3050 | - 480 | |
| 50 | Bodenwelle | - 960 | + 960 |
| Bremsung (2 m/s2) | + 960 | - 550 | |
| Schlagloch | - 1570 | + 1640 | |
| 60 | Bodenwelle | - 1180 | + 1170 |
| Bremsung (2 m/s2) | + 960 | - 550 | |
| Schlagloch | + 1140 | - 530 | |
| Vollbremsung (6 m/s2) | + 8400 | - 2400 |
Aus praktischen Messungen mit einem Campinganhänger von 650 kg Gesamtmasse und einer Aufbaulänge von 3,50 m wurden die in Tabelle 2.17 aufgeführten Längs- und Querkräfte in Abhängigkeit von der Geschwindigkeit ermittelt. Diese Werte zeigen, dass die Längskräfte zwischen -1570 und +3100 N und die Querkraft zwischen -550 und +1640 N liegen. Die Messungen haben somit die Richtigkeit der eingesetzten Stoßfaktoren bestätigt.
Meinungen zum Thema
Was ist Ihre Meinung zu diesem Artikel? Bisher wurde hierzu noch keine Meinung abgegeben - aber Sie haben doch bestimmt eine!







