Vor 63 Jahren
Folgende Veränderungen wurden am Trabant vorgenommen:
07.12.1962:- Freigabe 1:33 auch für Einfahrphase
- Türschloß links
2.5. Fahrgestell
Für die Konstruktion und Berechnung von Fahrgestellen für Campinganhänger sind Erfahrungen und Kenntnisse erforderlich, besonders über die während des Fahrbetriebes auftretenden Belastungen. Die nachfolgenden Berechnungsgrundlagen gewährleisten die Haltbarkeit des Fahrgestelles. Die Berechnungsgrundlagen für den material-ökonomischen Leichtbau können im Rahmen dieses Abschnittes jedoch nicht behandelt werden.
Meinungen zum Thema
Was ist Ihre Meinung zu diesem Artikel? Bisher wurde hierzu noch keine Meinung abgegeben - aber Sie haben doch bestimmt eine!
2.5.1. Berechnungsgrundlagen
Im nachfolgenden Abschnitt sollen die Berechnungen so dargestellt werden, wie sie zur Berechnung eines Fahrgestelles nacheinander abgearbeitet werden sollten. Dabei wird nur auf die Berechnung des Fahrgestellrahmens sowie der Zugeinrichtung eingegangen, da diese Baugruppen an den jeweiligen Oberbau angepasst werden müssen. Für Achse, Kugelkupplung und Schubstück werden standardisierte Baugruppen eingesetzt, die unter Beachtung ihrer zulässigen Gesamtbelastung für jeden beliebigen Oberbau verwendet werden können.
Meinungen zum Thema
Was ist Ihre Meinung zu diesem Artikel? Bisher wurde hierzu noch keine Meinung abgegeben - aber Sie haben doch bestimmt eine!
2.5.1.1. Gesamtmasse und Schwerpunkt
Voraussetzung für die Berechnung der Gesamtmasse und des Schwerpunktes ist der Konstruktionsentwurf. Der Entwurf muss bereits exakte Maß- und Masseangaben enthalten. Da in der StVZO die zulässige Auflagekraft auf die Anhängerzugvorrichtung des Zugfahrzeuges mit mindestens 5 % der Gesamtmasse des Campinganhängers und maximal 50 kg vorgeschrieben ist, bestimmt die Lage des Schwerpunktes die Lage der Achse. Ungenaue Maß- und Masseangaben führen zu unbrauchbaren Rechenergebnissen.
Arbeitsfolge:
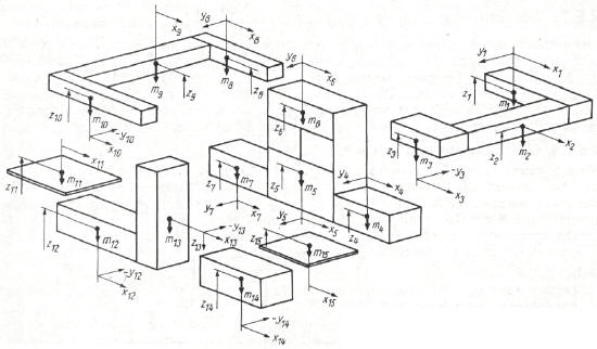
- Festlegen der x-, y- und z-Koordinaten. Es ist zu empfehlen, diese an die Kugelkupplung des Fahrgestelles zu legen (Bild 2.98).
- Zerlegen des Aufbaues in seine Teilsegmente mA1 bis mAx,
d. h. Seitenwand links, Seitenwand rechts mit Eingangstür, Bodengruppe, Dach,
Vorder- und Heckwand.
Beachte:
Die Teilsegmente müssen mit allen Einbauten, z. B. Fenster, Dichtgummi, Lüftungsrosetten, Außenleuchten, Steckdosen erfasst werden. - Die Einbauten einschließlich Zubehör (Propangasheizung, E-Anlage,
Wasseranlage, Kocher-Spüle-Kombination . . .) und vorgesehener Zuladung werden
entsprechend Bild 2.99 in Teilmassen mE1
bis mEx
aufgeteilt.
Beachte:
Für eine Überschlagsberechnung genügt es, wenn die im Bild 2.99 erfassten Einbauten berücksichtigt werden. Zu beachten ist, dass in den einzelnen Baugruppen das Zubehör und die vorgesehene Zuladung in der Masseermittlung berücksichtigt werden. - Das konzipierte Fahrgestell ist in die Teilmassen des Rahmens mR1 bis mRx, des Schubstückes und der Kugelkupplung mS1, der Räder mit Bereifung mB1 und nB2 und der auf die Verbindung Rahmen - Achse aufgeteilten Masse der Achse mA1 und mA2 zu zerlegen (Bild 2.100) und in Tabelle 2.14 einzutragen.

Bild 2.98. Belastungsschema des Aufbaues unter Beachtung aller zum Aufbau gehörenden Baugruppen

Bild 2.99. Belastungsschema der Einbauten einschließlich Zubehör und Zuladung
Aus Tabelle 2.14 erhalten wir die für die Berechnung der Schwerpunktkoordinaten erforderlichen Werte.
Tabelle 2.14. Ermittlung der Gesamtmasse und der Schwerpunktkoordinaten
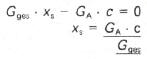
Die Schwerpunktkoordinaten ergeben sich aus den Gleichungen

Beachte:
xi
• mi, y • mi
und zi
• mi, sind in Tabelle 2.14 für jedes
Einzelteil m, zu berechnen. Erst dann dürfen die einzelnen Werte zur Summe
addiert und mit Hilfe der so ermittelten Summe die Schwerpunktkoordinaten
ermittelt werden.

Bild 2.100. Belastungsschema Rahmen
Ermittlung der Schwerpunktkoordinaten durch Messungen
Der theoretisch berechnete Schwerpunkt kann wie folgt nach Fertigstellung des Campinganhängers durch Messungen überprüft werden.
- Zur Ermittlung der Gesamtlast wird der Campinganhänger im voll beladenen Zustand, ohne Zugfahrzeug, gewogen.
- Um die Schwerpunktlage auf der x-Achse zu ermitteln, wird zuerst die
Kupplungslast und danach die Achslast bestimmt. Die ermittelte Gesamtlast muß
gleich der Summe der Kupplungslast und der Achslast sein.
Mit diesen Werten erhalten wir nach Bild 2.101

- Die Schwerpunktlage auf der y-Koordinate erhält man, indem die Radlast
links oder rechts durch Wiegen ermittelt wird. Nach Bild 2.102 ergibt sich

Beachte:
Ergibt sich für y ein Minuswert, so liegt der Schwerpunkt auf der /-Koordinate rechts von der Mittellinie des Campinganhängers. Siehe Koordinatenfestlegung Bild 2.98 - Zur Bestimmung der Schwerpunkthöhe auf der z-Koordinate wird der
Campinganhänger auf eine Waage geschoben und an der Kugelkupplung nach oben
angehoben. Um exakte Werte zu erhalten, sind vor dem Anheben die Federn zu
blockieren. Ein Einfedern des Rades würde verfälschte Werte ergeben.
Beachte:
Um ein Wegrollen während des Messvorganges zu vermeiden, sind unter die Räder Vorlegekeile zu legen. Außerdem darf die Handbremse nicht angezogen sein.
Die mit folgender Gleichung berechnete Schwerpunkthöhe ist auf die Fahrbahnebene bezogen (Bild 2.103).

GÃ Achslast nach dem Anheben.

Bild 2.101. Ermittlung der Achslast

Bild 2.102. Ermittlung der Radlast

Bild 2.103. Ermittlung der Schwerpunkthöhe
Meinungen zum Thema
Was ist Ihre Meinung zu diesem Artikel? Bisher wurde hierzu noch keine Meinung abgegeben - aber Sie haben doch bestimmt eine!







