2.1.3 Überholen
Beim Überholen eines vor uns fahrenden Fahrzeugs erreicht unser Anhängerzug, vorausgesetzt, der mitgeführte Lastenanhänger ist nicht extrem hoch beladen, fast die Beschleunigungswerte wie bei Solobetrieb. Erschwerend wirkt hierbei meist nur die um den Anhänger verlängerte Länge des Zugfahrzeugs, was den Überholweg vielleicht um 10 bis 20 Prozent verlängert. Anders sieht es bei einem Zugfahrzeug aus, das einen Campinganhänger zieht. Der Luftwiderstand des Anhängers macht sich ab einer Geschwindigkeit von 60 km/h aufwärts nicht nur spürbar, sondern sehr stark bemerkbar. Infolgedessen wird der Überholweg übernormal lang. Wie lang er werden kann, geht aus Tabelle 8 hervor. Unsere Schlussfolgerung aus den hierin zu findenden Werten kann deshalb auch nur sein, mit dem Anhängerzug nur dann ein noch langsameres Fahrzeug zu überholen, wenn wirklich alle Voraussetzungen hierfür bestehen. Die Erklärung für diese Vorsicht liefert uns das folgende Beispiel.
Beispiel: Wir fahren mit unserem Anhängerzug auf einer Fernverkehrsstraße mit 80 km/h. Vor uns fährt ein Lkw von ca. 12 m Länge mit 60 km/h. Wir wollen diesen Lkw überholen, wobei der Überholvorgang 50 m hinter dem Lkw beginnen und 40 m vor dem Lkw enden soll. Wie lang wird der Überholweg?
Tabelle 8: Notwendige Überholstrecken bei Anhängerbetrieb
| Anhängerzug überholt | Zu überholendes Fahrzeug (12m) fährt mit km/h | ||||||
| mit ...km/h | 20 | 30 | 40 | 50 | 60 | 70 | 80 |
| 30 | 314 (1269) | - | - | - | - | - | - |
| 40 | 220 (749) | 419 (1372) | - | - | - | - | - |
| 50 | 193 (603) | 278 (806) | 525 (1476) | - | - | - | - |
| 60 | 184 (551) | 239 (649) | 337 (864) | 631 (1583) | - | - | - |
| 70 | 181 (539) | 225 (592) | 284 (694) | 396 (923) | 737 (1689) | - | - |
| 80 | 180 (535) | 226 (576) | 266 (633) | 329 (740) | 454 (982) | 842 (1795) | - |
Werte in Klammern berücksichtigen Gegenverkehr mit 90 km/h
Die Beantwortung dieser Frage ist natürlich von einigen Faktoren abhängig, die wir vor dem Einleiten des Überholvorgangs in unsere Überlegungen mit einbeziehen müssen. Im einzelnen sind das folgende:
a) Ist ein zügiges Vorbeifahren an dem Lkw aus der gefahrenen Geschwindigkeit von 80 km/h heraus möglich (kein Gegenverkehr!)?
b) Ist es zur Ausführung des Überholvorgangs notwendig, den eigenen Fahrzeugzug zunächst abzubremsen, um den Gegenverkehr passieren zu lassen, und dann den Zug wieder zu beschleunigen?
c) Ist es zur reibungslosen Ausführung des Überholvorgangs notwendig, auch auf ein in größerer Entfernung entgegenkommendes Fahrzeug Rücksicht zu nehmen?
Hier zu diesen drei Fragen nun die Antworten. Man sollte sie wirklich aufmerksam lesen, denn wer hat als Solofahrer die erforderlichen Überholwege für seinen Anhängerzug schon so richtig „im Griff, noch dazu bei der ersten größeren Fahrt mit dem Zug.
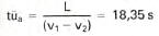
Zu a: Die sich ergebende relative Überhollänge L beträgt 102 m (50 m + 12 m + 40 m). Hieraus ergibt sich die erforderliche Überholzeit
![]()
In dieser Zeit legt unser Anhängerzug bei 80 km/h die absolute Strecke
sa = v1 • tüa = 408 m zurück. Dies wäre somit der kürzeste Überholweg.
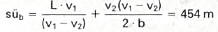
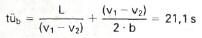
Zu b: In der Praxis ist beim Einleiten eines Überholvorgangs immer der Gegenverkehr zu berücksichtigen. Das bedeutet, den Anhängerzug auf die Geschwindigkeit des vor uns fahrenden Fahrzeugs abfallen zu lassen, auf eine Gelegenheit zum Überholen zu warten und, ist diese gekommen, den Zug wieder zu beschleunigen. Aber selbst bei einer Beschleunigung von 1 m/s2 vergrößert sich die erforderliche Überholzeit auf
![]()
Damit ergibt sich ein erforderlicher Überholweg von
![]()
Zu c: Ein noch längerer Überholweg ist einzukalkulieren, wenn selbst erst in größerer Entfernung ein Fahrzeug entgegenkommt denn dieses darf auf einer Fernverkehrsstraße immerhin 90 km/h fahren. Der benötigte Überholweg vergrößert sich dann auch um die Strecke, die das entgegenkommende Fahrzeug während der Zeit des Überholens des vor uns fahrenden Fahrzeugs zurücklegt. Wir erhalten in diesem Falle
süc=süb + sg = 982 m
Freie Überholstrecken dieser Länge sind im heutigen Straßenverkehr in der Urlaubssaison fast nicht mehr anzutreffen. Darum sollte jeder Fahrer eines Anhängerzuges wirklich nur dann zum Überholen ansetzen, wenn hierfür alle Bedingungen gegeben sind, andererseits aber dem Nachfolgeverkehr das Überholen seines eigenen Zuges ermöglichen.
Meinungen zum Thema
Was ist Ihre Meinung zu diesem Artikel? Bisher wurde hierzu noch keine Meinung abgegeben - aber Sie haben doch bestimmt eine!







